D'fhéadfaí na grianghraif a chuir tú ar fáil a úsáid chun seirbhísí Bing phróiseáil íomhánna a fheabhsú.
Polasaí príobháideachais
|
Téarmaí Úsáide
Ní féidir an nasc seo a úsáid. Seiceáil go dtosaíonn do nasc le 'http://' nó 'https://' chun triail eile a bhaint as.
Ní féidir an cuardach seo a phróiseáil. Bain triail as íomhá nó as eochairfhocail eile.
Bain triail as Cuardach Amharc
Cuardaigh, aithin oibiachtaí agus téacs, aistrigh nó réitigh fadhbanna le híomhá
Tarraing íomhá amháin nó níos mó anseo,
uaslódáil íomhá
nó
oscail an ceamara
Scaoil íomhánna anseo chun do chuardach a thosú
Chun Cuardach Físiúil a úsáid, cumasaigh an ceamara sa bhrabhsálaí seo
English
Gach rud
Cuardach
Íomhánna
Inspioráid
Cruthaigh
Bailiúcháin
Físeáin
Mapaí
Nuacht
Copilot
Tuilleadh
Siopadóireacht
Eitiltí
Taisteal
Nótaleabhar
Na moltaí is mó chabhair le haghaidh Formulating the Optimization Problem
Research Problem
Formulation
Formulating
a Research Problem
Steps in Formulating
a Research Problem
Formulating the Problem
Statement
Formulate a Problem
Statement
Research Problem
PPT
Formulating
Questions
Identifying and
Formulating the Research Problem
Identify a
Problem
Selection of Research
Problem
Optimization Problem
Formulation
Formulating Research Problem
in Humanities PPT
Problem
Forumlation
Problem
Formulation Meaning
Identifiying a
Problem
Formulation Problems
/Questions
What Is Problem
Statement Formulation
How to Formulate
a Research Problem
Formulation
Definition
Formulating Problem
in Ai
Formulating the
Problme Doc
Problem
Formulation Examples
Formulating
Research Objectives
Importance of
Formulating Research Problem
Formulating Problem
in Ai Example
Techniques Formulating
Research Problem
Formulating the Problem
and Exaplain
Research Problem
Formulation Process
Defining
Problem
Linear Programming
Problem
Problem
Statement Template
Problem
Formulation Book
Formulating
Proplem Types
Problem
Formulation Dddd
Sources of Research
Problem
Problem
Formulation SVG
Formulation of
the Problem PNG
Formulating
Form
Formulation
Report
Problem
Formulation Marketing
Graphical Problem
Formulation
New Formulation
Projects
Formulating Research Problem
Example in Paragraph
Formulating a Problem
Chart Reaesch Methodology
How Do You
Formulate a Research Problem
Problem
Formulation Adalah
Formulate
Hypothesis
Problem
Formulation Cartoon
Double Check in
Formulating a Research Problem
Problem
Formulation FSI
Taiscéal tuilleadh cuardaigh cosúil le Formulating the Optimization Problem
Quantum
Computing
Graph
Theory
Computer
Science
Short
Example
Quadratic
Function
Machine
Learning
Algebra
2
Distance
Formula
Calc
1
Worksheet.pdf
Mathematical
PDF
Diagram
Concept
Real-World
Algebra
List
Solve
Examples
Solutions
How
Solve
How
Understand
Paper
Homework
Solving
Constrained
Taxonomy
Chuardaigh daoine a bhfuil spéis acu iFormulating the Optimization Problem do
Classification
Word
Civil
Engineering
Different
Types
Important Formulas
For
Physics
Short
Circle
Graphical
Solution
Solutions
PDF
Sheet
Guide
Solve
Uathsheinn gach GIFanna
Athraigh uathsheinn agus socruithe íomhá eile anseo
Uathsheinn gach GIFanna
Smeach an lasc chun iad a chasadh air
GIFanna uathsheachadta
Méid íomhá
Gach ceann
Beag
Meánach
Mór
Ollmhór
Ar a laghad... *
Leithead Saincheaptha
x
Airde Saincheaptha
px
Iontráil uimhir do Leithead agus Airde
Dath
Gach ceann
Dath amháin
Dubh & bán
Cineál
Gach ceann
Grianghraf
Fáisc-ealaín
Líníocht le líne
GIF beochana
Trédhearcach
Leagan amach
Gach ceann
Cearnóg
Leathan
Ard
Daoine
Gach ceann
Aghaidheanna amháin
Ceann &barainní
Dáta
Gach ceann
Le 24 uair an chloig anuas
Le seachtain anuas
Le mí anuas
Le bliain anuas
Ceadúnas
Gach ceann
Gach Creative Commons
Fearann poiblí
Saor in aisce le comhroinnt agus úsáid
Saor in aisce a roinnt agus a úsáid ar bhonn tráchtála
Saor in aisce chun rudaí a mhionathrú, a chomhroinnt agus a úsáid
Saor in aisce chun rudaí a mhionathrú, a chomhroinnt agus a úsáid ar bhonn tráchtála
Tuilleadh faisnéise
Scagairí a ghlanadh
SafeSearch:
Meánach
Docht
Measartha (réamhshocraithe)
As
Scag
Research Problem
Formulation
Formulating
a Research Problem
Steps in Formulating
a Research Problem
Formulating the Problem
Statement
Formulate a Problem
Statement
Research Problem
PPT
Formulating
Questions
Identifying and
Formulating the Research Problem
Identify a
Problem
Selection of Research
Problem
Optimization Problem
Formulation
Formulating Research Problem
in Humanities PPT
Problem
Forumlation
Problem
Formulation Meaning
Identifiying a
Problem
Formulation Problems
/Questions
What Is Problem
Statement Formulation
How to Formulate
a Research Problem
Formulation
Definition
Formulating Problem
in Ai
Formulating the
Problme Doc
Problem
Formulation Examples
Formulating
Research Objectives
Importance of
Formulating Research Problem
Formulating Problem
in Ai Example
Techniques Formulating
Research Problem
Formulating the Problem
and Exaplain
Research Problem
Formulation Process
Defining
Problem
Linear Programming
Problem
Problem
Statement Template
Problem
Formulation Book
Formulating
Proplem Types
Problem
Formulation Dddd
Sources of Research
Problem
Problem
Formulation SVG
Formulation of
the Problem PNG
Formulating
Form
Formulation
Report
Problem
Formulation Marketing
Graphical Problem
Formulation
New Formulation
Projects
Formulating Research Problem
Example in Paragraph
Formulating a Problem
Chart Reaesch Methodology
How Do You
Formulate a Research Problem
Problem
Formulation Adalah
Formulate
Hypothesis
Problem
Formulation Cartoon
Double Check in
Formulating a Research Problem
Problem
Formulation FSI
1024×768
SlideServe
PPT - UNIT 2: FORMULATING THE OPTIMIZATION PROBLEM PowerPoint ...
1024×768
SlideServe
PPT - UNIT 2: FORMULATING THE OPTIMIZATION PROBLEM PowerPoint ...
1024×768
SlideServe
PPT - Process Optimization PowerPoint Presentation, free download - ID ...
1024×768
SlideServe
PPT - UNIT 2: FORMULATING THE OPTIMIZATION PROBLEM PowerPoin…
1024×768
SlideServe
PPT - UNIT 2: FORMULATING THE OPTIMIZATION PROBLEM PowerPoin…
1024×768
SlideServe
PPT - UNIT 2: FORMULATING THE OPTIMIZATION PROBLEM PowerPoin…
1024×768
SlideServe
PPT - UNIT 2: FORMULATING THE OPTIMIZATION PROBLEM PowerPoin…
1024×768
SlideServe
PPT - UNIT 2: FORMULATING THE OPTIMIZATION PROBLEM PowerP…
1024×768
SlideServe
PPT - UNIT 2: FORMULATING THE OPTIMIZATION PROBLEM PowerP…
1024×768
SlideServe
PPT - An Introduction to Optimization Theory PowerPoint Presentation ...
1024×768
SlideServe
PPT - UNIT 2: FORMULATING THE OPTIMIZATION PROBLEM PowerP…
Taiscéal tuilleadh cuardaigh cosúil le
Formulating the
Optimization Problem
Quantum Computing
Graph Theory
Computer Science
Short Example
Quadratic Function
Machine Learning
Algebra 2
Distance Formula
Calc 1
Worksheet.pdf
Mathematical
PDF
8:52
www.youtube.com > OpenMDAO
Basic optimization problem formulation
YouTube · OpenMDAO · 5.1K amharc · 9 MFómh 2022
1024×768
SlideServe
PPT - UNIT 2: FORMULATING THE OPTIMIZATION PROBLE…
986×632
chegg.com
Solved Consider the constrained optimization problem | Chegg.com
1023×767
SlideServe
PPT - Engineering Optimization PowerPoint Presentation, free downloa…
4083×2390
Stack Exchange
optimization - Formulating an optimisation problem into a mixed-integer ...
1024×768
SlideServe
PPT - UNIT 2: FORMULATING THE OPTIMIZATION PROBLE…
720×540
slidetodoc.com
System Planning 2013 Lecture 7 Optimization Appendix A
850×212
researchgate.net
Mathematical structure of three different optimization problems ...
523×708
chegg.com
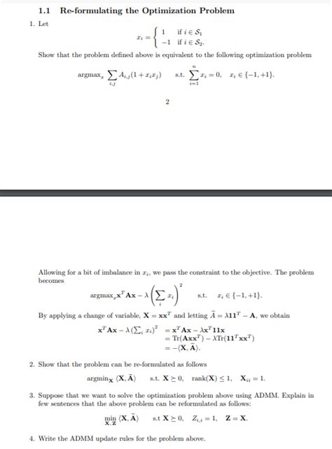
1.1 Re-formulating the Optimization …
793×283
chegg.com
Solved Formulate the following optimization problems as | Chegg.com
720×540
slidetodoc.com
Chapter 7 Optimization Methods Introduction Examples of optimization
1024×768
SlideServe
PPT - UNIT 2: FORMULATING THE OPTIMIZATION PROBLEM PowerP…
1024×768
slideplayer.com
Optimization formulation - ppt download
11:56
YouTube > Sergiy Butenko
Formulating an Optimization Model
YouTube · Sergiy Butenko · 5.6K amharc · 15 Iúil 2020
850×465
researchgate.net
Complete optimization formulation of the motion planning problem ...
1024×883
parityqc.com
Formulating optimization problems for quantum com…
Chuardaigh daoine a bhfuil spéis acu i
Formulating the
Optimization Problem
do
Classification
Word
Civil Engineering
Different Types
Important Formulas For
Physics
Short
Circle
Graphical Solution
Solutions PDF
Sheet
Guide Solve
1020×1320
docslib.org
Formulating an Optimization Prob…
802×492
gkennedy.gatech.edu
Formulating an Optimization Problem
850×417
researchgate.net
a) Alternative paths for transforming original optimization problem ...
1024×768
SlideServe
PPT - UNIT 2: FORMULATING THE OPTIMIZATION PROBLEM PowerP…
768×1024
scribd.com
Problem Formulation For Optimization | PD…
1024×768
SlideServe
PPT - UNIT 2: FORMULATING THE OPTIMIZATION PROBLEM PowerPoint ...
1024×768
SlideServe
PPT - UNIT 2: FORMULATING THE OPTIMIZATION PROBLEM PowerPoint ...
1024×768
SlideServe
PPT - UNIT 2: FORMULATING THE OPTIMIZATION PROBLEM PowerPoint ...
Tá roinnt torthaí folaithe toisc go bhfuil seans ann nach bhfuil siad inrochtana agat.
Taispeáin torthaí dorochtana
Tuairiscigh inneachar mí-oiriúnach
Roghnaigh ceann de na roghanna thíos.
Neamhábhartha
Maslach
Duine fásta
Mí-Úsáid Ghnéasach Leanaí
Aiseolas