The photos you provided may be used to improve Bing image processing services.
Privacy Policy
|
Terms of Use
Can't use this link. Check that your link starts with 'http://' or 'https://' to try again.
Unable to process this search. Please try a different image or keywords.
Try Visual Search
Search, identify objects and text, translate, or solve problems using an image
Drag one or more images here,
upload an image
or
open camera
Drop images here to start your search
To use Visual Search, enable the camera in this browser
All
Search
Images
Inspiration
Create
Collections
Videos
Maps
News
Copilot
More
Shopping
Flights
Travel
Notebook
Top suggestions for Golden Section Search Minimization MATLAB
Golden Section Search
Method
Golden Section
Line Search
Golden Section
Composition
Golden Section
Photography
Golden Section
Method Formula
Golden Section
Ratio
Golden Section
Grid
How to Use
Golden Section Search
Golden Section
Definition
Golden. Search
Example
Golden Search
Algorithm
Golden Section
Architecture
Golden Section
Organizer
Golden Section
Diagram
Gold
Section
Golden Section
Calculator
Bivariate
Golden Section Search
Golden Section
Method Numerical
Golden Section
Triangle
Golden Section Search
Error Formula
Golden Section
Tool
O
Golden Section Search
Golden Section
Examples
Golden Section
Point
Golden
Spiral Fibonacci Sequence
Golden
Sector
Golden Section
Theory
Golden Section
Method Matlab
Golden Section Search
Explained
Golden Section
Optimization
Golden Section
Numbers
Application of the
Golden Section
Golden Search
Technique
Golden Section
Measurement
Golden Section
Film
Golden Section Search
Method Math
Golden Ratio for
Golden Section Search
Golden Section Search
Graphically
Golden Section Search
D Formula
Golden
Sction
Golden Section
Line Search Pseudocode
How to Compute Error in
Golden Section Search
Golden Section
Leave
Mean Search or
Golden Section Search Method
Golden Section Search
Tabel
Golden Section
Elipse
Golden. Search
Method PPT
Golden Section
Flow Chart
Nelder-Mead
Method
Word Search About the
Golden Section
Explore more searches like Golden Section Search Minimization MATLAB
Line
Chart
Sociology
Definition
Protein
Structure
Finite
Automata
Linear
Programming
Waste
Pollution
Industrial
Waste
Basic
Circuit
Logic
Functions
Cognitive
Distortions
Protein
Energy
What Is
Waste
Solid
Waste
Cost
Price
Hazardous
Waste
Maximization
Calculus
Strategy
Clip Art
Linear Programming
Graph
Stock
Art
Icon for
Data
Boolean
Expression
Math
Path
Simplex
Tableau
Using Graphical
Method
Linear Programming
Slide
Karnaugh
Map
Machine
Learning
Structrual
Risk
Quadratic
What Is
Data
Automata
Regret
Alternating
State
Maximization
Structural
Risk
Circuits
Logic
Circuit
Simplex
Method
Quotes
People interested in Golden Section Search Minimization MATLAB also searched for
Psychology.
Examples
Finite Automata
Examples
Equation
Graphical
Define
Cost
Synonym
Definition
Randomisation
Drive
Test
Principle
Loss
Randomization
What Is
Energy
Statistics
Meme
Meaning
Autoplay all GIFs
Change autoplay and other image settings here
Autoplay all GIFs
Flip the switch to turn them on
Autoplay GIFs
Image size
All
Small
Medium
Large
Extra large
At least... *
Customized Width
x
Customized Height
px
Please enter a number for Width and Height
Color
All
Color only
Black & white
Type
All
Photograph
Clipart
Line drawing
Animated GIF
Transparent
Layout
All
Square
Wide
Tall
People
All
Just faces
Head & shoulders
Date
All
Past 24 hours
Past week
Past month
Past year
License
All
All Creative Commons
Public domain
Free to share and use
Free to share and use commercially
Free to modify, share, and use
Free to modify, share, and use commercially
Learn more
Clear filters
SafeSearch:
Moderate
Strict
Moderate (default)
Off
Filter
Golden Section Search
Method
Golden Section
Line Search
Golden Section
Composition
Golden Section
Photography
Golden Section
Method Formula
Golden Section
Ratio
Golden Section
Grid
How to Use
Golden Section Search
Golden Section
Definition
Golden. Search
Example
Golden Search
Algorithm
Golden Section
Architecture
Golden Section
Organizer
Golden Section
Diagram
Gold
Section
Golden Section
Calculator
Bivariate
Golden Section Search
Golden Section
Method Numerical
Golden Section
Triangle
Golden Section Search
Error Formula
Golden Section
Tool
O
Golden Section Search
Golden Section
Examples
Golden Section
Point
Golden
Spiral Fibonacci Sequence
Golden
Sector
Golden Section
Theory
Golden Section
Method Matlab
Golden Section Search
Explained
Golden Section
Optimization
Golden Section
Numbers
Application of the
Golden Section
Golden Search
Technique
Golden Section
Measurement
Golden Section
Film
Golden Section Search
Method Math
Golden Ratio for
Golden Section Search
Golden Section Search
Graphically
Golden Section Search
D Formula
Golden
Sction
Golden Section
Line Search Pseudocode
How to Compute Error in
Golden Section Search
Golden Section
Leave
Mean Search or
Golden Section Search Method
Golden Section Search
Tabel
Golden Section
Elipse
Golden. Search
Method PPT
Golden Section
Flow Chart
Nelder-Mead
Method
Word Search About the
Golden Section
635×473
numerade.com
ASSIGNMENT 5: Golden Section Search Method Minimize f(x) …
11:41
YouTube > EMPossible
MATLAB Session -- Golden Section Search Visualization
YouTube · EMPossible · 6.7K views · May 1, 2018
17:56
YouTube > EMPossible
MATLAB Session -- Golden Section Search
YouTube · EMPossible · 30.8K views · May 1, 2018
772×495
numerade.com
SOLVED: Draw a flowchart for the Golden section search minimizatio…
Related Products
Golden Section Algorithm
Numerical Analysis Methods
Mathematical Optimization Alg…
1007×675
chegg.com
Task 1: Golden Section Search: gs max.m (25 pts) in | Chegg.com
1024×644
numerade.com
SOLVED: Texts: 4. Draw a flowchart for the Golden Section Search ...
2043×762
chegg.com
Solved Use Golden Section search method to find the minimum | Chegg.com
865×463
chegg.com
Write Matlab code that combines a Geometric Search | Chegg.com
1314×388
chegg.com
Solved (Matlab) We want to use Golden section search to find | Chegg.com
882×134
chegg.com
Solved 2. Write a MATLAB code that uses the Golden Section | Chegg.com
Explore more searches like
Golden Section Search
Minimization
MATLAB
Line Chart
Sociology Definition
Protein Structure
Finite Automata
Linear Programming
Waste Pollution
Industrial Waste
Basic Circuit
Logic Functions
Cognitive Distortions
Protein Energy
What Is Waste
1253×556
chegg.com
Problem 3: Use the golden-section search to determine | Chegg.com
1024×768
slideserve.com
PPT - Optimization PowerPoint Presentation, free download - ID:3…
1024×768
SlideServe
PPT - Numerical Methods Golden Section Search Method - Theory n…
986×205
chegg.com
Solved 2. Write a MATLAB code that uses the Golden Section | Chegg.com
180×233
coursehero.com
MATLAB_algor…
1024×768
SlideServe
PPT - Golden Section Search Method PowerPoint Presentation…
160×120
mathworks.com
Golden Search Procedure - Fil…
1529×489
coursehero.com
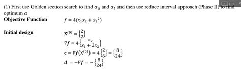
Using golden section on MATLAB (1) First use Golden section search ...
685×138
chegg.com
Solved 2. Write a MATLAB code that uses the Golden Section | Chegg.com
862×123
chegg.com
Solved 2. Write a MATLAB code that uses the Golden Section | Chegg.com
15:23
YouTube > civilengineeringprof
Lecture: Golden Search Section Method Theory Part 3 of 6
YouTube · civilengineeringprof · 5.3K views · Sep 29, 2012
160×120
mathworks.com
Golden Section Search Method for One dime…
1024×768
slideserve.com
PPT - Math 175: Numerical Analysis II PowerPoint Presentation, free ...
995×643
chegg.com
Task 1: Golden Section Search: gs max.m (25 pts) in | Chegg.com
665×132
chegg.com
Solved 3) Use the Golden Section method code in MATLAB | Chegg.com
1280×720
www.youtube.com
golden section search matlab code - YouTube
884×845
chegg.com
Solved Please code IN MATLAB the Golden Se…
People interested in
Golden Section Search
Minimization
MATLAB
also searched for
Psychology. Examples
Finite Automata Examples
Equation
Graphical
Define Cost
Synonym
Definition
Randomisation
Drive Test
Principle Loss
Randomization
What Is Energy
797×158
chegg.com
Solved Use the Golden Section method code in MATLAB (given | Chegg.com
1024×768
slideserve.com
PPT - Optimization PowerPoint Presentation, free download - ID:318…
886×1024
chegg.com
1. Develop a novel MATLAB program for …
1024×768
SlideServe
PPT - Numerical Methods Golden Section Search Method - Theory nm ...
1024×768
slideplayer.com
Introduction to Optimization - ppt download
451×294
Chegg
Solved Implement Golden Section Search, Successive Parabolic | Chegg.c…
960×720
slideplayer.com
Golden Section Method Prepared by Shahrzad Kavianirad Submitte…
522×297
chegg.com
Solved 1. Use the Golden-section search method to estimate a | Chegg.com
Some results have been hidden because they may be inaccessible to you.
Show inaccessible results
Report an inappropriate content
Please select one of the options below.
Not Relevant
Offensive
Adult
Child Sexual Abuse
Feedback