De door u verstrekte foto's kunnen worden gebruikt om de beeldbewerkingsservices van Bing te verbeteren.
Privacybeleid
|
Gebruiksvoorwaarden
Kan deze koppeling niet gebruiken. Controleer of je koppeling begint met 'http://' of 'https://' om het opnieuw te proberen.
Kan deze zoekopdracht niet verwerken. Probeer een andere afbeelding of trefwoorden.
Visual Search proberen
Zoeken, identificeren van objecten en tekst, vertalen of problemen oplossen met een afbeelding
Sleep een of meer afbeeldingen hierheen,
een afbeelding uploaden
of
camera openen
Sleep afbeeldingen hierheen om je zoekopdracht te starten
Schakel de camera in deze browser in om Visual Search te gebruiken
English
Alles
Zoeken
Afbeeldingen
Inspiratie
Maken
Collecties
Video's
Kaarten
Nieuws
Copilot
Meer
Shopping
Vluchten
Reizen
Notitieboek
Topsuggesties voor Practical Research 1
Practical Research 1
Paper Format
Practical Research
Chapter 1
Practical Research 1
Example
Practical Research 1
Activity
Practical Research
2 Module 1 Quarter 2
Practical Research 1
Curriculum Guide
Practical Research 1
Logo
Worksheet in
Practical Research 1
Exam in
Practical Research 1
Practical Research 1
Title Example
Practical Research 1
Background Design
Practical Research 1
Learning Activity Sheets
Practical Research 1
Test Questions
Practical Research 1
Topic
Practical Research 1
Book
Practical Research 1
Systematic
Practical Research 1
Book Rex
Practical Research 1
Grading System
Practical Research 1
Curriculum Map
Practical Research 1
Unique Test
Practical Research 1
Quarter 1 Module 3
Practical Research 1
Parts
Practical Research 1
Introduction
Worksheets About Practical Research 1
After Defense
Practical Research 1
Grading Percentage
Practical Research 1
Grade 11 Reviewer
Practical Research
Chapter 1 Sample
Practical
Researcher
Practical Research 1
Reference
Rigorous
Practical Research 1
Category
Practical Research 1
Practical Research 1
SlideShare
Practical Research
Notes Chapter 1
Guidelines On Making a
Practical Research
Practical Research 1
in Sampling
Practical Research 1
PowerPoint Presentation
Practical Research
Lettering
Practical Research 1
Module 4
Practical Research
2 Module 1 Task
Practical Research 1
Module 8
Practical Research 1
PDF Grade 12
Practical Research 1
Dll Week 1
Practical Research 1
Lesson
Practical Research
Manuscript
Practical Research 1
Crossword Puzzle
Practical Research
2 Module 1 Answer Key
Research
to Practice
Practical Research 1
Diagnostic Test
Practical Research 1
Example Theme
Conclusion for
Practical Research 1
Uw zoekactie naar Practical Research 1 toespitsen
Background
Design
Grading
System
PowerPoint
Presentation
Diagnostic
Test
Quarter 2
Module 6
Subject Orientation
PPT
Paper
Format
Test
Questions
Book
PDF
Cover
Design
Answer
Key
Survey Questionnaire
Sample
Notebook
Design
Teaching
Guide.pdf
What
is
Abstract
Sample
Curriculum
Guide
Background Design
Portrait
Ppt
Background
Clip
Art
Cover
Page
Introduction.ppt
SHS Core Subjects
Melcs
2nd
Quarter
Portfolio
Design
PPT Slides
Go
First Quarter
Exam
What Have You
Learned
Lesson
Plan
Situational
Exam
3rd Quarter Lesson
Plan
Chapter
4 PPT
Course
Description
Sample
Paper
Chapter
3
Sample Lesson
Plan
Poster
About
Example
Logo
Format
Chapter
Module Grade
11 PDF
Recommendation
Topics
For
Parts
Introduction
Chapter 4
Second
Edition
Aesthetic
Picture
Reviewer
Notes
Meer zoekacties als Practical Research 1 verkennen
Curriculum
Map
Topics
Activity
For
Activity
Sheets
About Small
Business
Template
Variables
Meaning
Sample
DLP
Mensen geïnteresseerd in Practical Research 1 hebben ook gezocht naar
Module
Rationale
Definition
Terms
Qualitative
Topic
Chapter
2
Reviewer
Essay
Question
Example
pdf
DepEd
Alle GIF-bestanden automatisch afspelen
Wijzig automatisch afspelen en andere instellingen voor afbeeldingen hier
Alle GIF-bestanden automatisch afspelen
Zet de knop om om ze in te schakelen
GIF-bestanden automatisch afspelen
Afbeeldingsformaat
Alles
Klein
Gemiddeld
Groot
Extra groot
Ten minste...*
Aangepaste breedte
x
Aangepaste hoogte
px
Voer een getal in voor Breedte en Hoogte
Kleur
Alles
Alleen kleur
Zwart-wit
Type
Alles
Foto
Clipart
Lijntekening
GIF-animatie
doorzichtig
Indeling
Alles
Vierkant
Breed
Hoog
Personen
Alles
Alleen gezichten
Hoofd en schouders
Datum
Alles
De afgelopen 24 uur
De afgelopen week
De afgelopen maand
Het afgelopen jaar
Licentie
Alles
Alle Creative Commons
Openbaar domein
Mag worden gedeeld en gebruikt
Mag worden gedeeld en commercieel worden gebruikt
Mag worden aangepast, gedeeld en gebruikt
Mag worden aangepast, gedeeld en commercieel worden gebruikt
Meer informatie
Filters wissen
Veilig Zoeken:
Gemiddeld
Streng
Gemiddeld (standaard)
Uit
Filter
Practical Research 1
Paper Format
Practical Research
Chapter 1
Practical Research 1
Example
Practical Research 1
Activity
Practical Research
2 Module 1 Quarter 2
Practical Research 1
Curriculum Guide
Practical Research 1
Logo
Worksheet in
Practical Research 1
Exam in
Practical Research 1
Practical Research 1
Title Example
Practical Research 1
Background Design
Practical Research 1
Learning Activity Sheets
Practical Research 1
Test Questions
Practical Research 1
Topic
Practical Research 1
Book
Practical Research 1
Systematic
Practical Research 1
Book Rex
Practical Research 1
Grading System
Practical Research 1
Curriculum Map
Practical Research 1
Unique Test
Practical Research 1
Quarter 1 Module 3
Practical Research 1
Parts
Practical Research 1
Introduction
Worksheets About Practical Research 1
After Defense
Practical Research 1
Grading Percentage
Practical Research 1
Grade 11 Reviewer
Practical Research
Chapter 1 Sample
Practical
Researcher
Practical Research 1
Reference
Rigorous
Practical Research 1
Category
Practical Research 1
Practical Research 1
SlideShare
Practical Research
Notes Chapter 1
Guidelines On Making a
Practical Research
Practical Research 1
in Sampling
Practical Research 1
PowerPoint Presentation
Practical Research
Lettering
Practical Research 1
Module 4
Practical Research
2 Module 1 Task
Practical Research 1
Module 8
Practical Research 1
PDF Grade 12
Practical Research 1
Dll Week 1
Practical Research 1
Lesson
Practical Research
Manuscript
Practical Research 1
Crossword Puzzle
Practical Research
2 Module 1 Answer Key
Research
to Practice
Practical Research 1
Diagnostic Test
Practical Research 1
Example Theme
Conclusion for
Practical Research 1
1000×1500
mindshaperspublishing.com
Practical Research 1 Qualitative Research REVISE…
768×994
studylib.net
Inquiry vs. Research: Practical Research 1.1 Notes
2048×2896
slideshare.net
Practical Research 1 Module 1 - REVISED.pdf
1200×1553
studocu.com
Practical Research 1 - notes - PracticalPractical ResearchR…
768×994
studylib.net
Practical Research 1
1200×1553
studocu.com
Practical Research 1 - PRACTICAL RESEARCH 1 M…
1240×1754
studypool.com
SOLUTION: Practical research 1 q4 module 1 - Studypool
1200×1698
studocu.com
Practical Research 1 LAS - Practical Research 1 Quarte…
560×315
slideshare.net
Curriculum Guide FOR PRACTICAL RESEARCH 1.do…
1200×1696
studocu.com
Practical Research 1 Q1 Module 1: Nature of Inquiry …
1200×1835
studocu.com
Practical Research 1lesson 1 11 - PRACTICAL RESEARCH …
640×360
slideshare.net
PRACTICAL RESEARCH 1.0.pptx
640×360
slideshare.net
PRACTICAL RESEARCH LESSON 1.pptx
1200×1553
studocu.com
Practical Research 2 Guidelines 5-1 - Practical Res…
1200×1698
studocu.com
A Practical Research 1 Q2M1 edited - Senior High School P…
607×607
shopee.ph
Practical Research 1 (2022 Edition) | Shopee Philippines
640×360
slideshare.net
Practical-Research-1-A-Guide-to-Uncovering-Insights.pptx
768×994
studylib.net
Practical Research 1 Worktext: Qualitative Research for K12 …
640×360
slideshare.net
Practical Research 1 Lesson 1, 2 and 3.pptx
768×1024
scribd.com
Practical Research 1 Reviewer | PDF | Cognition | Academic …
Verwante zoekopdrachten
Practical Research 1
Curriculum
Map
Practical Research
1.
Topics
Activity
for
Practical Research 1
Practical Research 1
Activity
Sheets
1200×1698
studocu.com
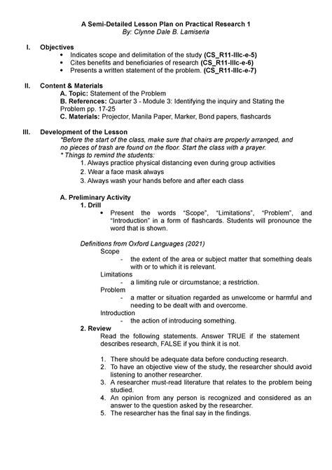
Detailed Lesson Plan - A Semi-Detailed Lesson Plan on Pra…
Verwante zoekopdrachten
Practical Research 1
Module
Rationale
Definition
of
Terms
Practical Research 1
Qualitative
Topic
Practical Research 1
Chapter
2
in
Practical Research 1
1200×1696
studocu.com
Practical Research 1 Module 1 - Practical Research 1 Quart…
1136×596
blogspot.com
Practical Research 1 Lesson Presentations
Verwante zoekopdrachten
Practical Research 1
Background
Design
Practical Research 1
Grading
System
Practical Research 1
PowerPoint
Presentation
Practical Research 1
Diagnostic
Test
768×1024
scribd.com
Practical Research 1 | PDF | Methodology | Knowledge
768×994
studylib.net
Practical Research 1 Module: Fusing Experience & Knowle…
768×1024
scribd.com
Practical Research 1 | PDF
768×1024
scribd.com
Practical Research 1 Revised Module | PDF | Methodology …
1080×1080
carousell.ph
Grade 11 Practical Research 1 (PRACRES) - REX Bookstore, …
768×1024
scribd.com
Practical Research 1 | PDF
1080×1080
carousell.ph
[Bundle] Practical Research 1 and 2 by Diwa Learning Tow…
640×360
slideshare.net
Lesson 1and2 - Practical Research 1.pptx
640×360
slideshare.net
Practical research 1 - Module 1- Lesson 1.pptx
1200×1835
studocu.com
Practical Research 1 Week 1 Final - PRACTICAL RESEARC…
768×1024
scribd.com
Practical Research 1 Reviewer | PDF
1200×1698
studocu.com
Practical-Research-1 Module-7 - Practical Research 1 Modu…
Sommige resultaten zijn verborgen omdat ze mogelijk niet toegankelijk zijn voor u.
Bekijk niet-toegankelijke resultaten
Ongepaste inhoud melden
Selecteer een van de onderstaande opties.
Niet relevant
Aanstootgevend
18+
Kindermisbruik
Feedback