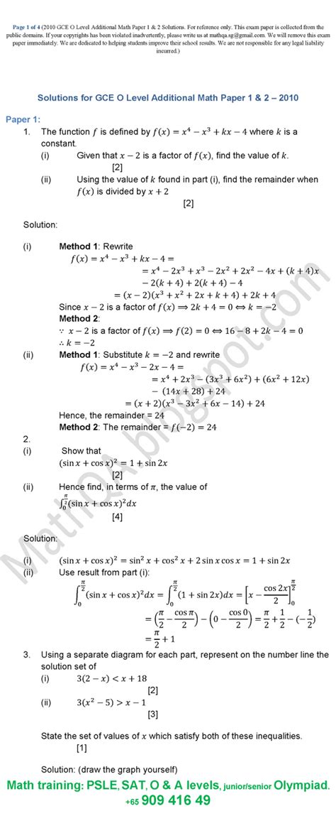
Tá roinnt torthaí folaithe toisc go bhfuil seans ann nach bhfuil siad inrochtana agat.Taispeáin torthaí dorochtana
maths book for o level | maths book for o level voor een lage prijs
UrraitheProfiteer van aanbiedingen van maths book for o level in boeken op Amazon. Miljoenen producten voor 23.59 uur besteld, morgen in huis
