The photos you provided may be used to improve Bing image processing services.
Privacy Policy
|
Terms of Use
Can't use this link. Check that your link starts with 'http://' or 'https://' to try again.
Unable to process this search. Please try a different image or keywords.
Try Visual Search
Search, identify objects and text, translate, or solve problems using an image
Drag one or more images here,
upload an image
or
open camera
Drop images here to start your search
To use Visual Search, enable the camera in this browser
All
Search
Images
Inspiration
Create
Collections
Videos
Maps
News
Copilot
More
Shopping
Flights
Travel
Notebook
Top suggestions for Types of Computer in Table Form
Types of Computer in
Tabular Form
Conventional
Computer Table
Desktop
Computer Types
Computer Table
Degin Brief
Types of Computer
Chart
Design the
Computer Table 8
Types of
Workstation Computer
Types of Computer in
Written
Types of Computer
Notes
Paragraph On
Types of Computer
Types of Forms in Computers Form
2
Types of Computer
Chart Paper
Biography On
Computers in Table Form
Types
Off Computer
Computer Model Table
Arrangement
Different
Types Computer
Types of
Tablet Computers
Different
Type of Computer Tables
Types of Computer
Chart for Printing PDF
Types of Computer
Text
Computer Generation Table
Chart
Types of Computer
Supercomputer
Diagram
of Types of Computer
Computer Tables in
Standard Form
10 Types of Computer
Application
Photo of a
Table Specifications Computer
Table of Computer Table
8 Layers
Tabel
of Computer
Types of Computer
Jpg
NC2 Computer Table
Design
Different Types of Computers
and Their Uses in a Table Form
Computer Table
ThinkPad
Types of Computer in
Hindi
Full Box
Type Computer Table
Computer
Technology Types
Computer Table of
Contant
Modular Computer Table
Size Chart
Types of Forms in Computer
Studies
Computer Table
Solid
Types of Computer
Documents
Different Types of Computer
with Short Discription
Computer
Termimal Types
Types of Computer
According to Function
Types of Computer
Design Booklet
Types of Computer in
English
Computer Form
Four Topics Layout
Two Computer
Model Table
Types of the Computer in
Easy Words
List 10 Different
Types of Computers Table
Types of Computer
Sketches Tablet and Laptop
Explore more searches like Types of Computer in Table Form
Living
Area
Foam
Sheet
Bookshelf
Design
Home
Center
Dinner
Room
Floor
Plan
People interested in Types of Computer in Table Form also searched for
Integrated
Desktop
Coming
Up
Top
Rack
Home
Box
Dark
Brown
Display
Design
Autoplay all GIFs
Change autoplay and other image settings here
Autoplay all GIFs
Flip the switch to turn them on
Autoplay GIFs
Image size
All
Small
Medium
Large
Extra large
At least... *
Customized Width
x
Customized Height
px
Please enter a number for Width and Height
Color
All
Color only
Black & white
Type
All
Photograph
Clipart
Line drawing
Animated GIF
Transparent
Layout
All
Square
Wide
Tall
People
All
Just faces
Head & shoulders
Date
All
Past 24 hours
Past week
Past month
Past year
License
All
All Creative Commons
Public domain
Free to share and use
Free to share and use commercially
Free to modify, share, and use
Free to modify, share, and use commercially
Learn more
Clear filters
SafeSearch:
Moderate
Strict
Moderate (default)
Off
Filter
Types of Computer in
Tabular Form
Conventional
Computer Table
Desktop
Computer Types
Computer Table
Degin Brief
Types of Computer
Chart
Design the
Computer Table 8
Types of
Workstation Computer
Types of Computer in
Written
Types of Computer
Notes
Paragraph On
Types of Computer
Types of Forms in Computers Form
2
Types of Computer
Chart Paper
Biography On
Computers in Table Form
Types
Off Computer
Computer Model Table
Arrangement
Different
Types Computer
Types of
Tablet Computers
Different
Type of Computer Tables
Types of Computer
Chart for Printing PDF
Types of Computer
Text
Computer Generation Table
Chart
Types of Computer
Supercomputer
Diagram
of Types of Computer
Computer Tables in
Standard Form
10 Types of Computer
Application
Photo of a
Table Specifications Computer
Table of Computer Table
8 Layers
Tabel
of Computer
Types of Computer
Jpg
NC2 Computer Table
Design
Different Types of Computers
and Their Uses in a Table Form
Computer Table
ThinkPad
Types of Computer in
Hindi
Full Box
Type Computer Table
Computer
Technology Types
Computer Table of
Contant
Modular Computer Table
Size Chart
Types of Forms in Computer
Studies
Computer Table
Solid
Types of Computer
Documents
Different Types of Computer
with Short Discription
Computer
Termimal Types
Types of Computer
According to Function
Types of Computer
Design Booklet
Types of Computer in
English
Computer Form
Four Topics Layout
Two Computer
Model Table
Types of the Computer in
Easy Words
List 10 Different
Types of Computers Table
Types of Computer
Sketches Tablet and Laptop
486×564
chegg.com
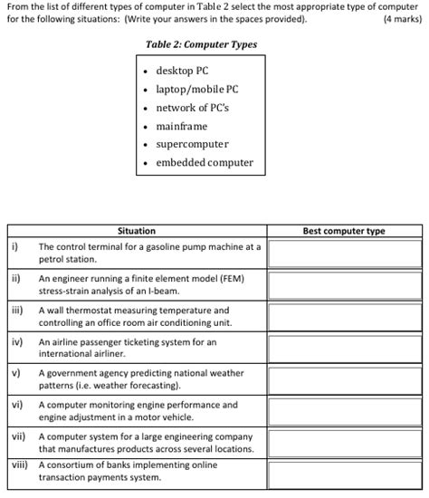
Solved From the list of different types of co…
655×699
siyavula.com
1.1 General model of a computer | Basic concepts of computing | Si…
640×392
blogspot.com
Types of Computers ~ COMPUTER NOTES (CSIT)
2312×2987
open.edu
3.1 Introduction to computers
Related Products
L-Shaped Computer Tables
Adjustable Height Desks
Gaming Computer Desks
1200×628
data-flair.training
Types of Computer with their Features - DataFlair
1024×768
SlideServe
PPT - TYPES OF COMPUTERS PowerPoint Presentation, free download - ID:156877
579×350
www.tutorialspoint.com
Classification of Computers
1764×947
testingdocs.com
Classification of Computers - TestingDocs
1200×800
reliancetup.in
Classification Of Computers | Size, Purpose, Work & More // Unstop
960×720
fity.club
Classification Of Computer System Functions Types What i…
950×832
vedantu.com
Classification of Computer Based on Size and Capacity: Examples and U…
Explore more searches like
Types of
Computer in Table
Form
Living Area
Foam Sheet
Bookshelf Design
Home Center
Dinner Room
Floor Plan
603×338
fity.club
Classification Of Computers Type Of Computer
1280×720
fity.club
Classification Of Computers By Purpose Computer Systems In Use System
1024×576
fity.club
Classification Of Computer
250×134
byjus.com
Types of Computers - Uses & Functions | Questions of Dif…
1370×991
blogspot.com
Types of Computer | Classification of Computer system
1024×1024
englishan.com
Types of Computer with Pictures: Names and Fe…
680×384
design.udlvirtual.edu.pe
Types Of Computer Table - Design Talk
1020×922
chegg.com
Solved (a) From the list of different types of comp…
1304×906
informationq.com
What is Computer? Types of Computer | InforamtionQ.com
1280×720
YouTube
Classification of computers / Types of computers - YouTube
1200×675
kmacims.com.ng
Classification Of Computers - By Generation, Type, Size And Degree ...
600×400
partitionwizard.com
6 Types of Computers and Their Purposes
495×640
slideshare.net
10 types of computers | PDF
436×342
ResearchGate
Types of Computers in Use | Download Table
2048×1152
SlideShare
Types of computers | PPT
People interested in
Types of
Computer in Table
Form
also searched for
Integrated Desktop
Coming Up
Top Rack
Home Box
Dark Brown
Display Design
1200×630
shiksha.com
Different Types Of Computer - Shiksha Online
1200×630
slidingmotion.com
Complete Guide on 23 main Types of Computer: Names & Pictures
16:41
www.youtube.com > ROFEL BBA Digital Learning
Type of Computer / Classification of Computer
YouTube · ROFEL BBA Digital Learning · 426.3K views · Oct 17, 2020
1280×720
computerstudypoint.com
What Is A Computer System And Its Types?|Different Types Of Computer ...
855×448
blogspot.com
Chapter 1, Types of Computers (PPT + Textbook) -Part 1 ~ Computer, VI Std
500×500
geeksforgeeks.org
Types of Computers - GeeksforGeeks
2:30
www.youtube.com > Welcome to Computer world🌎
TYPES OF COMPUTERS | 5 | 10 | 20 DIFFERENT TYPES OF COMPUTERS
YouTube · Welcome to Computer world🌎 · 5K views · Jul 12, 2024
728×416
artoftesting.com
Different Types of Computers and Their Functions
533×417
newtechsociety.org
Computer Types - What Is a Computer? - New Tech Society
Some results have been hidden because they may be inaccessible to you.
Show inaccessible results
Report an inappropriate content
Please select one of the options below.
Not Relevant
Offensive
Adult
Child Sexual Abuse
Feedback