The photos you provided may be used to improve Bing image processing services.
Privacy Policy
|
Terms of Use
Can't use this link. Check that your link starts with 'http://' or 'https://' to try again.
Unable to process this search. Please try a different image or keywords.
Try Visual Search
Search, identify objects and text, translate, or solve problems using an image
Drag one or more images here,
upload an image
or
open camera
Drop images here to start your search
To use Visual Search, enable the camera in this browser
Nederlands
All
Search
Images
Inspiration
Create
Collections
Videos
Maps
News
Copilot
More
Shopping
Flights
Travel
Notebook
Top suggestions for Formula for Variance in Binomial to Normal Approximation
Normal Approximation to Binomial Formula
Poisson
Approximation to Binomial
Binomial
Meaning
Binomial
Theorem General Formula
Binomial
Addition Formula
Fractional Binomial
Theorem
Expansion of
Binomial Theorem
Binomial
Expression Formula
Expand Using
Binomial Theorem
Binomial
Experiment Formula
Normal Approximation
Z-Table
Binomial
Error Formula
Binomial
Series Formula
Binomial
Random Variable
Binomial
Conditions
Binomial Theorem Formula
Example
Binomial
Probability
Poisson Binomial
Distribution
Quadratic
Binomial
Binomial
Definition Math
Binomial
Function
Binomial
Distribution Notation
Binomial
Distribution Plot
Approximating Binomial
with Normal
What Is
Binomial Expansion
Negative Binomial
Expansion Formula
Formula for Binomial
Expansion
Binomial
Equation
E X
Binomial Expansion
Binomial
Theorem 1XN
Binomial
Coefficient Formula
Binomial
Distribution Curve
Binomial
Theorey
Binomial
Expansion Proof
Binomial vs Normal
Distribution
Binomial
Distribution Table N12
Rumus
Binomial
Convert
Binomial to Normal
Binomial
Distribution Graph
Binomial
Theorem What Is K
Binomial
Maclaurin Series Formula
Binomial
Therou Formula
Binomial
Distribution Form
Binomial
Standard Deviation Formula
Binomial
Expansion a Level
Normal Approximation to Binomial
PPT
Binomial
Expansion of Square Root
Binomial
Probability Table N 10
Converting Binomial to Normal
Distribution
Binomial
Confidence Interval
Autoplay all GIFs
Change autoplay and other image settings here
Autoplay all GIFs
Flip the switch to turn them on
Autoplay GIFs
Image size
All
Small
Medium
Large
Extra large
At least... *
Customized Width
x
Customized Height
px
Please enter a number for Width and Height
Color
All
Color only
Black & white
Type
All
Photograph
Clipart
Line drawing
Animated GIF
Transparent
Layout
All
Square
Wide
Tall
People
All
Just faces
Head & shoulders
Date
All
Past 24 hours
Past week
Past month
Past year
License
All
All Creative Commons
Public domain
Free to share and use
Free to share and use commercially
Free to modify, share, and use
Free to modify, share, and use commercially
Learn more
Clear filters
SafeSearch:
Moderate
Strict
Moderate (default)
Off
Filter
Normal Approximation to Binomial Formula
Poisson
Approximation to Binomial
Binomial
Meaning
Binomial
Theorem General Formula
Binomial
Addition Formula
Fractional Binomial
Theorem
Expansion of
Binomial Theorem
Binomial
Expression Formula
Expand Using
Binomial Theorem
Binomial
Experiment Formula
Normal Approximation
Z-Table
Binomial
Error Formula
Binomial
Series Formula
Binomial
Random Variable
Binomial
Conditions
Binomial Theorem Formula
Example
Binomial
Probability
Poisson Binomial
Distribution
Quadratic
Binomial
Binomial
Definition Math
Binomial
Function
Binomial
Distribution Notation
Binomial
Distribution Plot
Approximating Binomial
with Normal
What Is
Binomial Expansion
Negative Binomial
Expansion Formula
Formula for Binomial
Expansion
Binomial
Equation
E X
Binomial Expansion
Binomial
Theorem 1XN
Binomial
Coefficient Formula
Binomial
Distribution Curve
Binomial
Theorey
Binomial
Expansion Proof
Binomial vs Normal
Distribution
Binomial
Distribution Table N12
Rumus
Binomial
Convert
Binomial to Normal
Binomial
Distribution Graph
Binomial
Theorem What Is K
Binomial
Maclaurin Series Formula
Binomial
Therou Formula
Binomial
Distribution Form
Binomial
Standard Deviation Formula
Binomial
Expansion a Level
Normal Approximation to Binomial
PPT
Binomial
Expansion of Square Root
Binomial
Probability Table N 10
Converting Binomial to Normal
Distribution
Binomial
Confidence Interval
1024×768
SlideServe
PPT - Normal Approximation to the Binomial PowerPoint Presentation ...
1024×768
SlideServe
PPT - Probability Boot camp PowerPoint Presentation, free download - ID ...
1024×768
slideplayer.com
Continuous Probability Distributions - ppt download
1024×768
SlideServe
PPT - Normal Approximation to the Binomial PowerPoint Prese…
Related Products
Binomial Distribution For…
Binomial Probability Form…
Binomial Coefficient For…
1024×1365
slideserve.com
PPT - Utilizing Normal Approxi…
1024×768
SlideServe
PPT - Chapter 6 PowerPoint Presentation, free download - ID:605546
1024×768
SlideServe
PPT - Normal Approximation to the Binomial PowerPoint Prese…
638×359
SlideShare
Normal as Approximation to Binomial
1024×768
SlideServe
PPT - Normal Distributions PowerPoint Presentation, free downl…
1920×1080
wizeprep.com
Normal Approximation to Binomial - Wize University Statistics Textbook ...
720×540
slideserve.com
PPT - The normal approximation to the Binomial variable PowerPoint ...
1024×768
slideserve.com
PPT - The normal approximation to the Binomial variable PowerPoint ...
1024×768
SlideServe
PPT - Normal Approximation to the Binomial PowerPoint Presentation ...
1024×768
slideserve.com
PPT - Chapter 7 PowerPoint Presentation, free download - ID:57…
2560×1920
slideserve.com
PPT - 6-4 Normal Approximation to the Binomial Distribution PowerPoint ...
960×720
slideplayer.com
5 Normal Probability Distributions - ppt video online download
474×613
studypool.com
SOLUTION: Normal Approxi…
1024×576
slideplayer.com
Lecture 12: Normal Distribution - ppt download
5:24
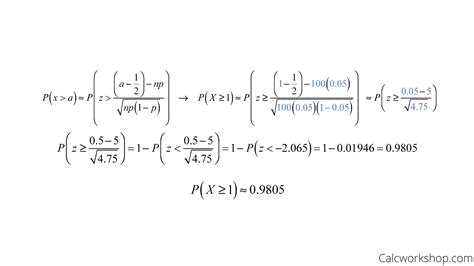
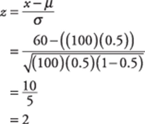
calcworkshop.com
Normal Approximation
960×720
blogspot.com
Revision Exercise on Normal Distributions - CIE Math Sol…
2048×588
mmerevise.co.uk
Normal Approximations to the Binomial Distribution | Revision | MME
5:24
calcworkshop.com
Normal Approximation
1024×768
SlideServe
PPT - Chapter 8: Introduction to Statistical Inference PowerPoint ...
5:24
calcworkshop.com
Normal Approximation
480×360
www.youtube.com
The Normal Approximation for the Binomial Distributio…
4:49
calcworkshop.com
Binomial Distribution
6:40
www.youtube.com > Joshua Emmanuel
Solved Examples: Normal Approximation to Binomial Distribution -Probability | Continuity Correction
YouTube · Joshua Emmanuel · 16K views · Jan 20, 2024
720×540
SlideServe
PPT - Normal Approximation to Binomial Distribution PowerPoint ...
14:57
YouTube > searching4math
The Normal Approximation of the Binomial Distribution
YouTube · searching4math · 329.7K views · Mar 28, 2013
153×131
CliffsNotes
Normal Approximation to the Binomial
1024×768
slideserve.com
PPT - The normal approximation to the Binomial variable PowerPoint ...
3:43
YouTube > searching4math
Binomial Distribution Mean Variance Standard Derivation
YouTube · searching4math · 73.5K views · Mar 6, 2013
584×403
Online Math Learning
Binomial Distribution (examples, solutions, formulas, videos)
615×243
chegg.com
Solved Note: If normal approximation of binomial | Chegg.com
1024×768
SlideServe
PPT - Normal Approximation to the Binomial PowerPoint Pres…
Some results have been hidden because they may be inaccessible to you.
Show inaccessible results
Report an inappropriate content
Please select one of the options below.
Not Relevant
Offensive
Adult
Child Sexual Abuse
Feedback