De door u verstrekte foto's kunnen worden gebruikt om de beeldbewerkingsservices van Bing te verbeteren.
Privacybeleid
|
Gebruiksvoorwaarden
Kan deze koppeling niet gebruiken. Controleer of je koppeling begint met 'http://' of 'https://' om het opnieuw te proberen.
Kan deze zoekopdracht niet verwerken. Probeer een andere afbeelding of trefwoorden.
Visual Search proberen
Zoeken, identificeren van objecten en tekst, vertalen of problemen oplossen met een afbeelding
Sleep een of meer afbeeldingen hierheen,
een afbeelding uploaden
of
camera openen
Sleep afbeeldingen hierheen om je zoekopdracht te starten
Schakel de camera in deze browser in om Visual Search te gebruiken
English
Alles
Zoeken
Afbeeldingen
Inspiratie
Maken
Collecties
Video's
Kaarten
Nieuws
Copilot
Meer
Shopping
Vluchten
Reizen
Notitieboek
Topsuggesties voor Optimal Control Formulas
Algebra
Formulas
Geometric
Formulas
Geometry
Formulas
Mathematical
Formulas
Circle
Formulas
Simple Math
Formulas
Trigonometry
Formulas
Math
Equation
Algebra
Formules
Trigonometric
Formulas
Geometry Cheat
Sheet
Formula
A
Maths
List of Algebraic
Formulas
Volume
Formules
Formulas
Trigonometricas
Basic
Geometry
Landscape with
Formulas
Gionometric
Formulas
Precalculus
Math
Basics
Picture Chalkboard
Formulas
Geometric Formulas
Chart
Formula
PNG
Triogonometry
Trigenomerty
Goniometrical
Formulas
Sigmoidal Shape
Formula
Calculus 2
Formula Sheet
Formula
Sheet Statistics
Kaliloog
Formule
Mathematical
Series
Bandura's
Formula
Resolutie
Formula
Handwritten
Math
Logica
Formules
Rilatine
Formula
Formula
S640p
Almotriptan
Formula
Lateral
Area
Gurkali
Formula
Giant Math
Equation
Tirón
Fórmula
Fortmula
Endgalex
Formula
Diamidophosphate
Mechanical Dyanmics
Formula
Math High
School
Trigonoimetric
Equations
Meetkunde
Formules
Algebra Formules
Visualisatie Kleur
Meer zoekacties als Optimal Control Formulas verkennen
Dynamic
Programming
Reinforcement
Learning
Discrete-Time
صور
ل
New
Balance
Problem
Diagram
Block
Diagram
Problem
Solution
Book
PDF
Machine
Learning
Noise
Disturbance
Exam
Solutions
Power
System
Theory
Example
Theory
Graph
Law
Texts
Lqr
Sintering
Confrence
Journal
Examples
Systems
Example
Methods
Books
Topic
System
Vehicle
System
Ppt
Cluster
Tools
Theory
Model
Mensen geïnteresseerd in Optimal Control Formulas hebben ook gezocht naar
Book
Theory
Lqr
Linear Optimal
Control
Aerospace
Formulas
Robot
Mechanics
Law
Formula
Solved
Problems
Relaxed
Hamiltonian
Algorithms
Theory
Calculus
Theory Simple
Problems
Alle GIF-bestanden automatisch afspelen
Wijzig automatisch afspelen en andere instellingen voor afbeeldingen hier
Alle GIF-bestanden automatisch afspelen
Zet de knop om om ze in te schakelen
GIF-bestanden automatisch afspelen
Afbeeldingsformaat
Alles
Klein
Gemiddeld
Groot
Extra groot
Ten minste...*
Aangepaste breedte
x
Aangepaste hoogte
px
Voer een getal in voor Breedte en Hoogte
Kleur
Alles
Alleen kleur
Zwart-wit
Type
Alles
Foto
Clipart
Lijntekening
GIF-animatie
doorzichtig
Indeling
Alles
Vierkant
Breed
Hoog
Personen
Alles
Alleen gezichten
Hoofd en schouders
Datum
Alles
De afgelopen 24 uur
De afgelopen week
De afgelopen maand
Het afgelopen jaar
Licentie
Alles
Alle Creative Commons
Openbaar domein
Mag worden gedeeld en gebruikt
Mag worden gedeeld en commercieel worden gebruikt
Mag worden aangepast, gedeeld en gebruikt
Mag worden aangepast, gedeeld en commercieel worden gebruikt
Meer informatie
Filters wissen
Veilig Zoeken:
Gemiddeld
Streng
Gemiddeld (standaard)
Uit
Filter
Algebra
Formulas
Geometric
Formulas
Geometry
Formulas
Mathematical
Formulas
Circle
Formulas
Simple Math
Formulas
Trigonometry
Formulas
Math
Equation
Algebra
Formules
Trigonometric
Formulas
Geometry Cheat
Sheet
Formula
A
Maths
List of Algebraic
Formulas
Volume
Formules
Formulas
Trigonometricas
Basic
Geometry
Landscape with
Formulas
Gionometric
Formulas
Precalculus
Math
Basics
Picture Chalkboard
Formulas
Geometric Formulas
Chart
Formula
PNG
Triogonometry
Trigenomerty
Goniometrical
Formulas
Sigmoidal Shape
Formula
Calculus 2
Formula Sheet
Formula
Sheet Statistics
Kaliloog
Formule
Mathematical
Series
Bandura's
Formula
Resolutie
Formula
Handwritten
Math
Logica
Formules
Rilatine
Formula
Formula
S640p
Almotriptan
Formula
Lateral
Area
Gurkali
Formula
Giant Math
Equation
Tirón
Fórmula
Fortmula
Endgalex
Formula
Diamidophosphate
Mechanical Dyanmics
Formula
Math High
School
Trigonoimetric
Equations
Meetkunde
Formules
Algebra Formules
Visualisatie Kleur
1024×768
SlideServe
PPT - Control Theory PowerPoint Presentation, free download - ID…
320×320
researchgate.net
Formulas definitions used for solving optim…
783×454
fab.cba.mit.edu
Optimal Control Theory - Control Theory
51:47
www.youtube.com > shyam kamal
EE 564: Lecture 1 (Optimal Control): Optimal Control Problem Formulation
YouTube · shyam kamal · 19,6K weergaven · 4 jan. 2021
1024×768
SlideServe
PPT - Optimal control PowerPoint Presentation, free download - ID:31820…
685×531
link.springer.com
Representation formulas for solutions of linear uncertain f…
6:53
YouTube > aa4cc
L4.4 - Discrete-time LQ-optimal control - infinite horizon, algebraic Riccati equation
YouTube · aa4cc · 14,4K weergaven · 13 mrt. 2017
685×398
link.springer.com
Representation formulas for solutions of linear uncertain fractional ...
576×203
chegg.com
Solved Consider the optimal control | Chegg.com
320×320
researchgate.net
12 Structure of optimal control problems | Do…
685×556
link.springer.com
Representation formulas for solutions of linear uncertain …
1001×1024
chegg.com
Solved Problem 4.5 (Optimal control of a …
320×320
researchgate.net
Optimal state x(·)$$ x\left(\cdotp \right) $…
Meer zoekacties als
Optimal Control
Formulas
verkennen
Dynamic Programming
Reinforcement Learning
Discrete-Time
صور ل
New Balance
Problem Diagram
Block Diagram
Problem Solution
Book PDF
Machine Learning
Noise Disturbance
Exam Solutions
533×264
excel-works.com
Solving optimal control problems in Excel.
850×1100
researchgate.net
(PDF) On representation fo…
320×320
researchgate.net
Optimal control u(⋅) and optimal state x(⋅) with 3…
1870×670
urosolia.github.io
Model Predictive Control Part II: Learning from data | Ugo Rosolia
524×416
semanticscholar.org
Figure 1 from Lax-Oleinik-type formulas and efficient algorith…
768×1024
scribd.com
Optimal Control Theory | PDF
845×294
chegg.com
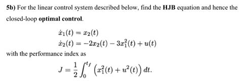
Solved 5b) For the linear control system described below, | Chegg.com
1200×600
github.com
GitHub - OveasGHolami/Optimal-Control: Matlab Codes and Simulation of ...
729×258
chegg.com
Solved 4) Consider the system 𝐱̇ = [ 0 1 0 −1 ] 𝐱 + [ 0 1 | Chegg.com
306×435
onesearch.library.uwa.edu.au
Optimal Control of Coupled Sy…
850×1276
researchgate.net
(PDF) Optimal control result…
768×1024
es.scribd.com
Fórmulas para Gráficas de Co…
850×1100
researchgate.net
(PDF) A direct method base…
1024×680
aihr.com
An HR's Guide to Calculating Span of Control - AIHR
1024×768
SlideServe
PPT - Inventory Control Models PowerPoint Presentation, free download ...
850×1134
researchgate.net
Optimal Quadrature Formulas for Calcul…
1620×2430
studypool.com
SOLUTION: Formulas for stru…
800×800
balyan.ir
دانلود کتاب Semiconcave Functions, Hamilton—Jacob…
529×556
chegg.com
Problem 1: Numerical Methods for Optimal | Che…
Mensen geïnteresseerd in
Optimal Control
Formulas
hebben ook gezocht naar
Book
Theory Lqr
Linear Optimal Control
Aerospace
Formulas
Robot
Mechanics
Law Formula
Solved Problems
Relaxed
Hamiltonian
Algorithms
800×1129
degruyter.com
Optimal Control
850×1290
researchgate.net
Numerical Solution of Frac…
1024×452
numerade.com
SOLVED: 3.1 Optimal control of unit mass. In this problem, you will use ...
Sommige resultaten zijn verborgen omdat ze mogelijk niet toegankelijk zijn voor u.
Bekijk niet-toegankelijke resultaten
Ongepaste inhoud melden
Selecteer een van de onderstaande opties.
Niet relevant
Aanstootgevend
18+
Kindermisbruik
Feedback