The photos you provided may be used to improve Bing image processing services.
Privacy Policy
|
Terms of Use
Can't use this link. Check that your link starts with 'http://' or 'https://' to try again.
Unable to process this search. Please try a different image or keywords.
Try Visual Search
Search, identify objects and text, translate, or solve problems using an image
Drag one or more images here,
upload an image
or
open camera
Drop images here to start your search
To use Visual Search, enable the camera in this browser
All
Search
Images
Inspiration
Create
Collections
Videos
Maps
News
Copilot
More
Shopping
Flights
Travel
Notebook
Top suggestions for Statistical Regression Formula
Linear Regression
Excel
Regression
Model Equation
Regression
Line Formula
Formula
for Multiple Regression
Linear Regression
Coefficient
Regression
Form
Regression
Function
Sample Regression
Equation
Stats
Regression Formula
Simple Linear
Regression Equation
Regression
Equation Example
Types of
Regression
Linear Regression Formula
B
Regression Formula
Calculator
Regression
Line Slope
Regression
Equation Statistics
How to Find Linear
Regression
Regression
Equatioin
Least Squares
Regression Formula
Regression
Output Excel
Regresion Linear
Formula
Statistical Formula
for a Linear Regression
Regression
Equation Format
Regression
Equation Interpretation
Regression
Independent Variable
Linear Regression
Data Examples
Regression
Basics
Regression Formula
M
Logistic Regression
Cheat Sheet
Correlation and
Regression
Regression
Intercept Equation
Regression
Anatomy Formula
Machine Learning
Regression
Regression
Lineaire
What Is
Regression Equation
Linear Regression
Beta Coefficient
Linear Regression Formula
Chem
Linear Regression
Variance Formula
Standard Form
Regression Equation
Statistics Formulas
Confidence Level
Regression
Linear Regression
Fulll Formula
Regression
Model Formula
Regression
Calculator
Alpha Formula
in Regression
Formula
for B in Linear Regression
Regression
Machine Learning
Regression
Cheat Sheet
Probability and
Statistics Formulas
Linear Regression
Formuilas
Explore more searches like Statistical Regression Formula
Machine
Learning
Copy
Paste
Simple
Linear
Beta
Coefficient
Data
Science
Sample
Parameter
Correlation
Analysis
Lasso
Ridge
Logarithmic
Function
Standard
Error
Beta
1
Simple
Example
Effect
Size
Linear
Logistic
Beta
For
Multiple
Sheet
De
Trend
Depreciation
B0
What
is
Coefficient
Confidence
Interval
Anatomy
Residual
Analysis
Research
Paper
People interested in Statistical Regression Formula also searched for
Confidence Interval
for Slope
Equation
Algebric
For
B1
AIC
Statistical
12Std
Linear
For
Coefficient
Linear
Autoplay all GIFs
Change autoplay and other image settings here
Autoplay all GIFs
Flip the switch to turn them on
Autoplay GIFs
Image size
All
Small
Medium
Large
Extra large
At least... *
Customized Width
x
Customized Height
px
Please enter a number for Width and Height
Color
All
Color only
Black & white
Type
All
Photograph
Clipart
Line drawing
Animated GIF
Transparent
Layout
All
Square
Wide
Tall
People
All
Just faces
Head & shoulders
Date
All
Past 24 hours
Past week
Past month
Past year
License
All
All Creative Commons
Public domain
Free to share and use
Free to share and use commercially
Free to modify, share, and use
Free to modify, share, and use commercially
Learn more
Clear filters
SafeSearch:
Moderate
Strict
Moderate (default)
Off
Filter
Linear Regression
Excel
Regression
Model Equation
Regression
Line Formula
Formula
for Multiple Regression
Linear Regression
Coefficient
Regression
Form
Regression
Function
Sample Regression
Equation
Stats
Regression Formula
Simple Linear
Regression Equation
Regression
Equation Example
Types of
Regression
Linear Regression Formula
B
Regression Formula
Calculator
Regression
Line Slope
Regression
Equation Statistics
How to Find Linear
Regression
Regression
Equatioin
Least Squares
Regression Formula
Regression
Output Excel
Regresion Linear
Formula
Statistical Formula
for a Linear Regression
Regression
Equation Format
Regression
Equation Interpretation
Regression
Independent Variable
Linear Regression
Data Examples
Regression
Basics
Regression Formula
M
Logistic Regression
Cheat Sheet
Correlation and
Regression
Regression
Intercept Equation
Regression
Anatomy Formula
Machine Learning
Regression
Regression
Lineaire
What Is
Regression Equation
Linear Regression
Beta Coefficient
Linear Regression Formula
Chem
Linear Regression
Variance Formula
Standard Form
Regression Equation
Statistics Formulas
Confidence Level
Regression
Linear Regression
Fulll Formula
Regression
Model Formula
Regression
Calculator
Alpha Formula
in Regression
Formula
for B in Linear Regression
Regression
Machine Learning
Regression
Cheat Sheet
Probability and
Statistics Formulas
Linear Regression
Formuilas
960×720
Pinterest
Regression Equation: y = at, x = e
608×492
geeksforgeeks.org
Linear Regression Formula | GeeksforGeeks
1024×704
animalia-life.club
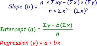
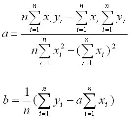
Regression Formula
1024×768
readbap.weebly.com
Simple linear regression equation b0 - readbap
Related Products
Z-test formula
T-test formula
ANOVA formula
768×399
wallstreetmojo.com
Regression Formula - What Is It, Examples, Types, Uses
250×201
statisticshowto.com
Regression Equation: What it is and How to u…
1500×1000
worksheets.clipart-library.com
Linear Regression • Simply explained - DATAtab - Worksheets Library
1024×768
SlideServe
PPT - Chapter 12a Simple Linear Regression PowerPoint Presentation ...
1200×510
design.udlvirtual.edu.pe
Linear Regression Analysis Example Pdf - Design Talk
1024×461
wallstreetmojo.com
Regression Analysis Formula | Step by Step Calculation
Explore more searches like
Statistical
Regression Formula
Machine Learning
Copy Paste
Simple Linear
Beta Coefficient
Data Science
Sample Parameter
Correlation Analysis
Lasso Ridge
Logarithmic Function
Standard Error
Beta 1
Simple Example
1024×570
quizlet.com
Linear Regression Formula Diagram | Quizlet
850×360
animalia-life.club
Regression Formula
1024×526
Mergers
Regression Formula | How To Calculate Regression (Excel Template)
1536×1024
statisticalaid.com
Linear Regression Explained with Example & Application
768×994
studylib.net
Linear Regression For…
276×263
analyzemath.com
Linear Regression - Problems with Soluti…
960×540
animalia-life.club
Regression Formula
1366×768
animalia-life.club
Regression Formula
720×540
hotelsrate.org
How To Calculate Simple Linear Regression Equation - Diy Proj…
328×187
research-methodology.net
Regression Analysis - Research-Methodology
346×231
shiksha.com
All About Linear Regression Formula - Shiksha Online
1436×708
sixsigmadsi.com
Regression Equation - Sixsigma DSI - Lean Six Sigma Glossary Term
1920×1080
crte.lu
How To Find The Linear Regression Equation On A Calculator - Printable ...
389×113
wallstreetmojo.com
Linear Regression - Formula, Calculation, Assumptions
535×841
goodiop.weebly.com
Estimated simple linear re…
342×164
calculator.swiftutors.com
Linear Regression Calculator | Calculator.swi…
1024×768
SlideServe
PPT - Chapter 11 Simple Linear Regression Analysis ( 线性回归分 …
People interested in
Statistical
Regression Formula
also searched for
Confidence Interval for Slo
…
Equation Algebric
For B1
AIC
Statistical
12Std Linear
For
Coefficient Linear
1024×1024
labex.io
Build a Linear Regression Model with scikit-learn | L…
768×534
vitalflux.com
F-test & F-statistics in Linear Regression: Formula, Examples
903×761
fity.club
Regression
1400×906
medium.com
Regression Analysis. Regression analysis models Explained… | by Anas ...
1459×641
rulesfiko.weebly.com
Calculate the linear regression equation - rulesfiko
1280×720
carreersupport.com
When to Use Linear Regression: A Guide for Applying This Versatile ...
2000×1385
towardsdatascience.com
Linear Regression Explained. A High Level Overview of Linear… | by ...
539×315
www.ablebits.com
Linear regression analysis in Excel
Some results have been hidden because they may be inaccessible to you.
Show inaccessible results
Report an inappropriate content
Please select one of the options below.
Not Relevant
Offensive
Adult
Child Sexual Abuse
Feedback