The photos you provided may be used to improve Bing image processing services.
Privacy Policy
|
Terms of Use
Can't use this link. Check that your link starts with 'http://' or 'https://' to try again.
Unable to process this search. Please try a different image or keywords.
Try Visual Search
Search, identify objects and text, translate, or solve problems using an image
Drag one or more images here,
upload an image
or
open camera
Drop images here to start your search
To use Visual Search, enable the camera in this browser
All
Search
Images
Inspiration
Create
Collections
Videos
Maps
News
Copilot
More
Shopping
Flights
Travel
Notebook
Top suggestions for Complex Differentiation of a Function
Complex Derivatives
Complex
Variables
Complex
Exponential
Argument Complex
Number
Complex Differentiation
Derivative of Complex Function
Complex
Analysis
Graph
of Complex Function
Analytic
Function
Complex
Number Problems
Basic
Differentiation
Logarithm of a Complex
Number
Complex
Integrals
Complex Functions
Examples
Complex
Numbers and Functions
Differentiating Exponential
Functions
Complex.
Log
Differentiation
Physics
Complex
Conjugate
SEC
Differentiation
Differentiation
Questions
Function of Complex
Variable
Dividing Complex
Numbers
Complex Function
Chart
Differentiate
Function
Derivative of
an Integral
Derivatives of
Algebraic Functions
Complex Differentiation
Rules
Complex
Exponential Identities
Natural Log
of a Complex Number
Complex
Exponentiation
Logarithmic
Differentiation
Function
Is Analytic
Complex Function
Math
Complex
Implicit Differentiation
Convert to Complex
Exponential Form
Graphical
Complex Functions
Polar Exponential
Form
Differentiation
Formulas
Inverse Trigonometric
Functions
Beauty
of Complex Functions
Complex
Funtions
Complicated
Function
Complex
Trig Identities
Partial Differentiation of a Complex Function
Conjugate
What Is the
Derivative of a Function
How to Differentiate
a Function
Cauchy
Function
Complex Function
Theory
Ln Complex
Numbers
Explore more searches like Complex Differentiation of a Function
Valued
How
Find
Chart
Deswhat
Is
Variations
Hot
Express
Phase
Problems
Limits
Example
Graph
Find
Limit
Table
Derivatives
Complementary
Differentiation
Definitions
Trigonometric
People interested in Complex Differentiation of a Function also searched for
Simply
Following
How Fint Domain
Fromba
How Find
Limit
II What Is Critical
For
Variable M4 JNTUH
R16 Spectrum
Variable M4 JNTUH
R16 Text Book PDF
Autoplay all GIFs
Change autoplay and other image settings here
Autoplay all GIFs
Flip the switch to turn them on
Autoplay GIFs
Image size
All
Small
Medium
Large
Extra large
At least... *
Customized Width
x
Customized Height
px
Please enter a number for Width and Height
Color
All
Color only
Black & white
Type
All
Photograph
Clipart
Line drawing
Animated GIF
Transparent
Layout
All
Square
Wide
Tall
People
All
Just faces
Head & shoulders
Date
All
Past 24 hours
Past week
Past month
Past year
License
All
All Creative Commons
Public domain
Free to share and use
Free to share and use commercially
Free to modify, share, and use
Free to modify, share, and use commercially
Learn more
Clear filters
SafeSearch:
Moderate
Strict
Moderate (default)
Off
Filter
Complex Derivatives
Complex
Variables
Complex
Exponential
Argument Complex
Number
Complex Differentiation
Derivative of Complex Function
Complex
Analysis
Graph
of Complex Function
Analytic
Function
Complex
Number Problems
Basic
Differentiation
Logarithm of a Complex
Number
Complex
Integrals
Complex Functions
Examples
Complex
Numbers and Functions
Differentiating Exponential
Functions
Complex.
Log
Differentiation
Physics
Complex
Conjugate
SEC
Differentiation
Differentiation
Questions
Function of Complex
Variable
Dividing Complex
Numbers
Complex Function
Chart
Differentiate
Function
Derivative of
an Integral
Derivatives of
Algebraic Functions
Complex Differentiation
Rules
Complex
Exponential Identities
Natural Log
of a Complex Number
Complex
Exponentiation
Logarithmic
Differentiation
Function
Is Analytic
Complex Function
Math
Complex
Implicit Differentiation
Convert to Complex
Exponential Form
Graphical
Complex Functions
Polar Exponential
Form
Differentiation
Formulas
Inverse Trigonometric
Functions
Beauty
of Complex Functions
Complex
Funtions
Complicated
Function
Complex
Trig Identities
Partial Differentiation of a Complex Function
Conjugate
What Is the
Derivative of a Function
How to Differentiate
a Function
Cauchy
Function
Complex Function
Theory
Ln Complex
Numbers
1024×768
SlideServe
PPT - Complex Variables PowerPoint Presentation, free download - ID:557…
1280×720
YouTube
Complex Differentiation - YouTube
1280×720
YouTube
Differentiation formulas for complex functions - YouTube
1150×724
mathworld.wolfram.com
Complex Differentiable -- from Wolfram MathWorld
Related Products
Calculus Textbooks
Calculus Workbook
Math Games
2:51
YouTube > Michel van Biezen
Calculus 2: Complex Numbers & Functions (26 of 28) The Derivative Complex Function: Ex. 1
YouTube · Michel van Biezen · 39.4K views · Apr 25, 2017
2048×1152
slideshare.net
Complex Numbers and Functions. Complex Differentiation | PDF
2048×1152
slideshare.net
Complex Numbers and Functions. Complex Differentiation | PDF
GIF
703×497
complex-analysis.com
Complex Differentiation
1280×720
YouTube
Differentiating Functions of a Complex Variable - YouTube
2560×1920
slideserve.com
PPT - Complex Algebra: Differentiation and Integration of Functions ...
768×1024
scribd.com
Complex Differentiation | PD…
Explore more searches like
Complex
Differentiation
of
a
Function
Valued
How Find
Chart
Deswhat Is
Variations
Hot Express
Phase
Problems Limits
Example
Graph
Find Limit
Table Derivatives
12:40
www.youtube.com > The Bright Side of Mathematics
Complex Analysis 3 | Complex Derivative and Examples
YouTube · The Bright Side of Mathematics · 64.1K views · Jan 9, 2022
10:01
www.youtube.com > The Sage of Science
Differentiation of a complex function
YouTube · The Sage of Science · 659 views · Aug 10, 2023
26:03
www.youtube.com > Elliot Nicholson
Complex Differentiation
YouTube · Elliot Nicholson · 35.1K views · Jul 5, 2018
1280×720
www.youtube.com
Derivative of complex function - YouTube
768×1024
scribd.com
2. Differentiation of Complex Functions | P…
1024×768
slideserve.com
PPT - Derivatives PowerPoint Presentation, free download - ID:2230974
561×453
storyofmathematics.com
Complex Derivative: Detailed Explanation and Examples - The Story of ...
768×1024
scribd.com
Differentiation of Complex Functions | P…
1617×2880
studypool.com
SOLUTION: Mathematics di…
17:55
YouTube > William Nesse
The derivative of a complex function
YouTube · William Nesse · 65.7K views · Jun 12, 2014
700×322
chegg.com
Solved 1 DERIVATIVE OF COMPLEX FUNCTIONS The derivative of | Chegg.com
544×720
www.youtube.com
Derivative - Complex Expon…
1280×720
www.youtube.com
Complex Numbers 8 _ The Derivative of A Complex Function تفاضل الدوال ...
1682×464
chegg.com
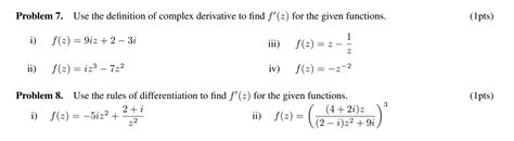
Solved Problem 7. Use the definition of complex derivative | Chegg.com
7:23
www.youtube.com > Math E Connect
#2 || Derivative of f(z) || Analytic function || Calculus of complex function || 18MAT41 ||
YouTube · Math E Connect · 2.7K views · Jun 21, 2021
180×233
coursehero.com
Understanding Differentiation …
771×274
Stack Exchange
derivatives - Complex Differentiation Question - Mathematics Stack Exchange
People interested in
Complex
Differentiation
of
a
Function
also searched for
Simply Following
How Fint Domain Fromba
How Find Limit
II What Is Critical For
Variable M4 JNTUH R16 Spectrum
Variable M4 JNTUH R16 Text Book PDF
1024×768
slideserve.com
PPT - Complex Analysis PowerPoint Presentation, free download - ID:9541582
19:05
YouTube > William Nesse
Derivatives and integrals of complex functions w(t)
YouTube · William Nesse · 6.1K views · Jun 27, 2014
515×626
math.stackexchange.com
Question about derivative of com…
1280×720
YouTube
Derivative of Complex General Function with Chain Rule - YouTube
1280×720
www.youtube.com
Differentiation of Trigonometric function Complex Variables | Analytic ...
1185×756
math.stackexchange.com
analysis - How to find derivative of this complex function ...
1117×640
ilectureonline.com
Ilectureonline
Some results have been hidden because they may be inaccessible to you.
Show inaccessible results
Report an inappropriate content
Please select one of the options below.
Not Relevant
Offensive
Adult
Child Sexual Abuse
Feedback