The photos you provided may be used to improve Bing image processing services.
Privacy Policy
|
Terms of Use
Can't use this link. Check that your link starts with 'http://' or 'https://' to try again.
Unable to process this search. Please try a different image or keywords.
Try Visual Search
Search, identify objects and text, translate, or solve problems using an image
Drag one or more images here,
upload an image
or
open camera
Drop images here to start your search
To use Visual Search, enable the camera in this browser
Gaeilge
All
Search
Images
Inspiration
Create
Collections
Videos
Maps
News
Copilot
More
Shopping
Flights
Travel
Notebook
Top suggestions for Strongly Connected Components of a Graph
Strongly Connected
Directed Graph
Strongly Connected Graph
Example
Graph Connected Components
Strongly
vs Weakly Connected Graph
Directed Graph
Is Strongly Connected
What Is
Strongly Connected Graph
Strongly Connected Components
in a Matrix
Finding Strongly Connected Components
in Graph
Example
of Strongly Connected Component
Find
Strongly Connected Graph
Stongly
Connected Graph
Strong
Component Graph
Singly
Connected Graph
A Graph
and Its Connected Components
SCC
Graph
One Way
Connected Graph
Strongly Connected Component
Sccs Graph
What Are the
Connected Components in a Graph
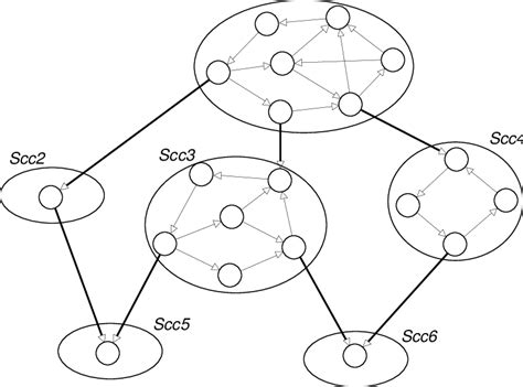
Condensation
of a Strongly Connected Component Graph
Strongly and Weakly
Connected Graph Examples
Fully Connected
Directed Graph
Componets
of a Graph
Strongly Connected Graph
in Graph Theory
Strongly Connected Component
Node Graph
Strong V Weak
Connected Graph
Path Matrix
of Strongly Connected Graph
Connected
vs Unconnected Graph
Directed Acyclic
Graph
What's
Strongly Connected Graph
Simply
Connected Graph
Strongly Connected
Cgraph
Strongly
Oriented Graph
Connected Component
Symbol Graph Theory
Largest Connected Component of a
Directed Graph
Strognly
Connected Components
Open and Closed On
Graph
Components in a
GRPH
Simple vs Connected
vs Complete Graph
What Is Eakly
Connected Graph
Complex Directed
Graph
Weakly and
Strongly Conected Graphs
Components Graph
Clip Art
Connected Compoments
of Graph
Graph
Vertices and Edges
Storngly Conected
Components
Interaction
Graph Components
Strongly
Connscted Graphs
Connected Components in a Graph
Discrete Structures
Structure of Web
Strongly Connected Components Diagram
Synthetic
Connected Graph
Explore more searches like Strongly Connected Components of a Graph
Directed
Graph
Adjacency
List
Condensation
Graph
Algorithm Graphs
Animated GIF
Social Network
Analysis
Code Using
C++
Telephone
Call Graph
How
Determine
Finish Time
For
Code Using
Java
Practice Graph
For
Graph
Example
Component
Grpah
Daa
vs
Weak
Pseudocode
Tarjan
People interested in Strongly Connected Components of a Graph also searched for
Properly Designed
Scientific
Two Distinct
Connected
Examples Find
All Connected
That Allows
See
Autoplay all GIFs
Change autoplay and other image settings here
Autoplay all GIFs
Flip the switch to turn them on
Autoplay GIFs
Image size
All
Small
Medium
Large
Extra large
At least... *
Customized Width
x
Customized Height
px
Please enter a number for Width and Height
Color
All
Color only
Black & white
Type
All
Photograph
Clipart
Line drawing
Animated GIF
Transparent
Layout
All
Square
Wide
Tall
People
All
Just faces
Head & shoulders
Date
All
Past 24 hours
Past week
Past month
Past year
License
All
All Creative Commons
Public domain
Free to share and use
Free to share and use commercially
Free to modify, share, and use
Free to modify, share, and use commercially
Learn more
Clear filters
SafeSearch:
Moderate
Strict
Moderate (default)
Off
Filter
Strongly Connected
Directed Graph
Strongly Connected Graph
Example
Graph Connected Components
Strongly
vs Weakly Connected Graph
Directed Graph
Is Strongly Connected
What Is
Strongly Connected Graph
Strongly Connected Components
in a Matrix
Finding Strongly Connected Components
in Graph
Example
of Strongly Connected Component
Find
Strongly Connected Graph
Stongly
Connected Graph
Strong
Component Graph
Singly
Connected Graph
A Graph
and Its Connected Components
SCC
Graph
One Way
Connected Graph
Strongly Connected Component
Sccs Graph
What Are the
Connected Components in a Graph
Condensation
of a Strongly Connected Component Graph
Strongly and Weakly
Connected Graph Examples
Fully Connected
Directed Graph
Componets
of a Graph
Strongly Connected Graph
in Graph Theory
Strongly Connected Component
Node Graph
Strong V Weak
Connected Graph
Path Matrix
of Strongly Connected Graph
Connected
vs Unconnected Graph
Directed Acyclic
Graph
What's
Strongly Connected Graph
Simply
Connected Graph
Strongly Connected
Cgraph
Strongly
Oriented Graph
Connected Component
Symbol Graph Theory
Largest Connected Component of a
Directed Graph
Strognly
Connected Components
Open and Closed On
Graph
Components in a
GRPH
Simple vs Connected
vs Complete Graph
What Is Eakly
Connected Graph
Complex Directed
Graph
Weakly and
Strongly Conected Graphs
Components Graph
Clip Art
Connected Compoments
of Graph
Graph
Vertices and Edges
Storngly Conected
Components
Interaction
Graph Components
Strongly
Connscted Graphs
Connected Components in a Graph
Discrete Structures
Structure of Web
Strongly Connected Components Diagram
Synthetic
Connected Graph
1024×768
slideserve.com
PPT - Graphs PowerPoint Presentation, free download - ID:6914363
1024×768
SlideServe
PPT - Lecture 16: DFS, DAG, and Strongly Connected Components ...
1024×768
slideserve.com
PPT - Graphs PowerPoint Presentation, free download - ID:6914363
1024×576
slideplayer.com
Lecture 21: More Graph Algorithms - ppt download
Related Products
Algorithms Book
Directed Acyclic Graphs
Connected Components Alg…
1024×768
slideserve.com
PPT - Strongly Connected Components for Directed Graph…
850×317
researchgate.net
2: Strongly connected components of the example graph. | Download ...
6:13
YouTube > Jithin Parakka
Finding strongly connected component of a graph
YouTube · Jithin Parakka · 532 views · Mar 21, 2020
990×568
Chegg
Solved Show the strongly connected components of the graph | Chegg.com
680×466
ResearchGate
1: Example: The strongly connected components of a gra…
320×240
slideshare.net
Strongly Connected Components | PPT
Explore more searches like
Strongly Connected Components
of a Graph
Directed Graph
Adjacency List
Condensation Graph
Algorithm Graphs Animat
…
Social Network Analysis
Code Using C++
Telephone Call Graph
How Determine
Finish Time For
Code Using Java
Practice Graph For
Graph Example
2560×1920
slideserve.com
PPT - Graphs: Applications and Terminologies PowerPoint Pr…
915×629
hideoushumpbackfreak.com
Graph Concepts - Hideous Humpback Freak
1024×576
slideplayer.com
Strongly Connected Components (SCC) in a Graph - ppt download
1024×768
slideserve.com
PPT - Graphs - II PowerPoint Presentation, free download - ID:4818…
654×461
numerade.com
SOLVED: 2. We know that the strongly connect components in any directed ...
706×439
chegg.com
Solved c. Find the strongly connected components of the | Chegg.com
784×581
researchgate.net
Exemple of Strongly Connected Component Graph | Download Scient…
974×1207
codeboar.com
Graph Theory Basics: Vertices, Edges, Cycles, and Representa…
683×439
GeeksforGeeks
Connected Components in an undirected graph - GeeksforGeeks
700×686
chegg.com
Solved 14. Find the strongly connected c…
350×138
www.bartleby.com
Answered: Find the strongly connected components of ea…
493×567
chegg.com
Solved 15. Find the strongly con…
1024×490
numerade.com
SOLVED: a) Find the strongly connected components of each of these ...
578×247
researchgate.net
8 : Graph with a marked strongly connected components | Download ...
768×576
studylib.net
Strongly Connected Components for Directed Graphs
952×460
upgrad.com
The Power of Strongly Connected Components in Graph Theory
640×640
researchgate.net
Open and closed strongly connected co…
People interested in
Strongly Connected
Components
of
a Graph
also searched for
Properly Designed Scientific
Two Distinct Connected
Examples Find All Connected
That Allows See
880×352
Programiz
Strongly Connected Components
930×834
pythonread.github.io
Strongly Connected Components
12:05
YouTube > Vivekanand Khyade - Algorithm Every Day
Connected and Strongly Connected Components in a Graph #Graph Series #24
YouTube · Vivekanand Khyade - Algorithm Every Day · 113.5K views · May 19, 2020
819×998
researchgate.net
The strongly connected compon…
1699×564
chegg.com
Solved Strongly Connected. Consider the graph below. | Chegg.com
193×186
bradfieldcs.com
Strongly Connected Components
1280×1656
docsity.com
Strongly Connected Components of a graph - …
871×669
numerade.com
[Strongly-connected components] Given the graph in Figure 2, find …
Some results have been hidden because they may be inaccessible to you.
Show inaccessible results
Report an inappropriate content
Please select one of the options below.
Not Relevant
Offensive
Adult
Child Sexual Abuse
Feedback