Can't use this link. Check that your link starts with 'http://' or 'https://' to try again.
Unable to process this search. Please try a different image or keywords.
Try Visual Search
Search, identify objects and text, translate, or solve problems using an image
Drag one or more images here,
upload an image
or
open camera
The photos you provided may be used to improve Bing image processing services.
Privacy Policy
|
Terms of Use
Drop image anywhere to start your search
To use Visual Search, enable the camera in this browser
Gaeilge
All
Search
Images
Inspiration
Create
Collections
Videos
Maps
News
Copilot
More
Shopping
Flights
Travel
Notebook
Top suggestions for Variance to Stdev
Standard Variance
Formula
Variance to
Standard Deviation
Variance in Relation to
Standard Deviation
Variance
Std. Deviation
Mean-Variance
Standard Deviation
Variance
Calculator
Is Variance
Standard Deviation Square D
SD and
Variance Relation
Calculating for Standard
Deviation
How Is Standard Deviation Related
to Variance
Is Standard Deviation the Square of
Variance
Variance Stdev
Square D
Variance
vs Standard Deviation
Stdev
vs Variance
Sigma
Variance
Standard Deviation
and Varian
SE
Variance
Standard Deviation
Line in a Graph
How to Find Variance
with Standard Deviation
Range Variance
and Standard Deviation
Standard Deviation Using
Variance
Standard Deviation
Equation Excel
How Are Variance
and Standard Deviation Related
Calculate the Variance
and Standard Deviation
What Is the Forumula for
Stdev If You Have Variance
Variance
and Standard Deviation Symbol On Calculator
Example of How
to Find Variance
How to
Work Out Standard Deviation
Sample Variance
vs Standard Deviation
Standard Deviation and Variance Table
Deviation
Variables
How Do We Find Standard
Deviation
Standard Deviation
for Grouped Data
Mean Variance
and Standard Deviation Examples
Sample and Population
Standard Deviation
Relate Variance to
Standard Deviation
How to Find the Variance
of a Data Set
Variance
and Standard Deviation Stats
Define Standard
Deviation
Is Mean Deviation and
Variance Same
Standard Deviation
Representation
Allelic Variance
Formula
Deviation Form
Stats
How to
Compute Standard Deviation From Variance
Standard Deviation
Frequency Table
Standard Deviation
Definition
How to
Calculate SD in Statistics
Standard Deviation Probability
Distribution
Sample
Stdev
Standard Dev vs
Variance
Explore more searches like Variance to Stdev
Moving
Average
Difference
Between
How
Use
Divided
Mean
High
Low
Standard
Error
Diagrammatic
Representation
Mean
Formula
Line
Graph
If
Excel
Pie
Chart
How
Find
Greater
than 1
Sample Bar
Graph
Concept
Mean
Grafik
WTI
Eqn
Stdevp
vs
Access
Pooled
Adalah
Select
SQL
Server
Parameter
Variance
$150
Notebook
Formula
People interested in Variance to Stdev also searched for
If
Statement
Mean
Value
Formul
SD
Excel
Covariance
RSD
Ranges
Avedev
vs
Number
IQR
vs
Calculator
Visual
Oracle.
Select
Autoplay all GIFs
Change autoplay and other image settings here
Autoplay all GIFs
Flip the switch to turn them on
Autoplay GIFs
Image size
All
Small
Medium
Large
Extra large
At least... *
Customized Width
x
Customized Height
px
Please enter a number for Width and Height
Color
All
Color only
Black & white
Type
All
Photograph
Clipart
Line drawing
Animated GIF
Transparent
Layout
All
Square
Wide
Tall
People
All
Just faces
Head & shoulders
Date
All
Past 24 hours
Past week
Past month
Past year
License
All
All Creative Commons
Public domain
Free to share and use
Free to share and use commercially
Free to modify, share, and use
Free to modify, share, and use commercially
Learn more
Clear filters
SafeSearch:
Moderate
Strict
Moderate (default)
Off
Filter
Standard Variance
Formula
Variance to
Standard Deviation
Variance in Relation to
Standard Deviation
Variance
Std. Deviation
Mean-Variance
Standard Deviation
Variance
Calculator
Is Variance
Standard Deviation Square D
SD and
Variance Relation
Calculating for Standard
Deviation
How Is Standard Deviation Related
to Variance
Is Standard Deviation the Square of
Variance
Variance Stdev
Square D
Variance
vs Standard Deviation
Stdev
vs Variance
Sigma
Variance
Standard Deviation
and Varian
SE
Variance
Standard Deviation
Line in a Graph
How to Find Variance
with Standard Deviation
Range Variance
and Standard Deviation
Standard Deviation Using
Variance
Standard Deviation
Equation Excel
How Are Variance
and Standard Deviation Related
Calculate the Variance
and Standard Deviation
What Is the Forumula for
Stdev If You Have Variance
Variance
and Standard Deviation Symbol On Calculator
Example of How
to Find Variance
How to
Work Out Standard Deviation
Sample Variance
vs Standard Deviation
Standard Deviation and Variance Table
Deviation
Variables
How Do We Find Standard
Deviation
Standard Deviation
for Grouped Data
Mean Variance
and Standard Deviation Examples
Sample and Population
Standard Deviation
Relate Variance to
Standard Deviation
How to Find the Variance
of a Data Set
Variance
and Standard Deviation Stats
Define Standard
Deviation
Is Mean Deviation and
Variance Same
Standard Deviation
Representation
Allelic Variance
Formula
Deviation Form
Stats
How to
Compute Standard Deviation From Variance
Standard Deviation
Frequency Table
Standard Deviation
Definition
How to
Calculate SD in Statistics
Standard Deviation Probability
Distribution
Sample
Stdev
Standard Dev vs
Variance
1000×470
geeksforgeeks.org
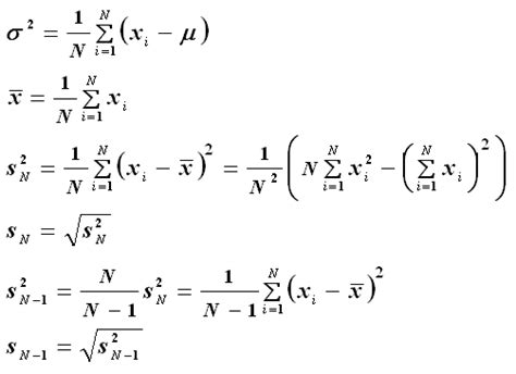
Variance and Standard Deviation - GeeksforGeeks
750×301
queleparece.com
Variance and Standard Deviation-Definition, Formula, Relation and ...
650×200
statisticslectures.com
Variance and Standard Deviation of a Sample
1000×470
geeksforgeeks.org
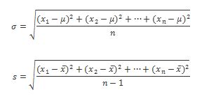
Mean, Variance and Standard Deviation - GeeksforGeeks
Related Products
Standard Deviation Graphing Calcula…
Mean and Stdev of Normal Distributi…
Statistics for Dummies Book
1024×768
SlideServe
PPT - Variance and Standard Deviation PowerPoint Presentati…
720×540
SlideServe
PPT - Variance and Standard Deviation PowerPoint Presentation, free ...
1536×768
storyofmathematics.com
Standard Deviation | Definition & Meaning
1124×662
vrogue.co
Standard Deviation Formula Statistics Variance Sample - vrogue.co
1600×940
standarddeviationcalculator.io
Understanding the Standard Deviation Graph
Explore more searches like
Variance to
Stdev
Moving Average
Difference Between
How Use
Divided Mean
High Low
Standard Error
Diagrammatic Representation
Mean Formula
Line Graph
If Excel
Pie Chart
How Find
960×630
blogspot.com
Standard deviation and variance
4:17
www.youtube.com > Mr Ong Maths Lessons
Variance and Standard Deviation Calculation
YouTube · Mr Ong Maths Lessons · 276 views · Feb 4, 2023
1403×865
mrs-mathpedia.com
The Variance and Standard Deviation - Mrs.Mathpedia
1280×720
fity.club
Variance And Standard Deviation
782×687
fity.club
Variance And Standard Deviation Standard Deviation - From Wolfram
1280×720
www.youtube.com
Variance and Standard Deviation - YouTube
612×290
ar.inspiredpencil.com
Variance And Standard Deviation Formula
700×266
pikbest.com
The Difference Between Stdev And Stdev.s Understanding Variance ...
502×365
pulsedpower.net
Standard Deviation and Variance
1400×788
joshibhagyesh.com
Understanding Variance and Standard Deviation in Statistics - Joshi ...
1600×940
standarddeviationcalculator.io
Understanding Variance vs. Standard Deviation
1500×1000
forestparkgolfcourse.com
Standard Deviation Formula and Uses vs. Variance (2024)
1600×940
standarddeviationcalculator.io
Understanding Variance vs. Standard Deviation
1600×940
standarddeviationcalculator.io
Understanding Variance vs. Standard Deviation
1200×932
slidesdocs.com
Comparing Stdev.s And Stdev.p Understanding The Difference …
People interested in
Variance to
Stdev
also searched for
If Statement
Mean Value
Formul
SD Excel
Covariance
RSD
Ranges
Avedev vs
Number
IQR vs
Calculator
Visual
1280×854
letstalksport.co.uk
Demystifying Standard Deviation: A Friends Guide
1103×616
gioutlyrt.blob.core.windows.net
Calculate Sample Variance From Standard Deviation at Chris Binder blog
850×422
researchgate.net
Trait variance as indicated by the SD (STDEV) divided by the mean for ...
1200×809
slidesdocs.com
Understanding When To Use STDEV.P And STDEV.S Function…
535×396
www.dummies.com
Standard Deviation, Variance, and Coefficient of Variation of ...
1200×674
fity.club
Std Vector Vs List
288×142
sigmamagic.com
Where is my variation coming from? | Blogs | Sig…
1280×720
www.youtube.com
Variance, Standard Deviation STDEV.P , STDEV.S - YouTube
1280×720
www.youtube.com
Variance and Standard Deviation Calculations Part 1 - YouTube
1200×927
studocu.com
Chapter 4-stdev, variance, etc - PSY 211 - UNC Greensboro - Studocu
1800×900
statsig.com
Understanding (and reducing) variance and standard deviation
Some results have been hidden because they may be inaccessible to you.
Show inaccessible results
Report an inappropriate content
Please select one of the options below.
Not Relevant
Offensive
Adult
Child Sexual Abuse
Feedback