The photos you provided may be used to improve Bing image processing services.
Privacy Policy
|
Terms of Use
Can't use this link. Check that your link starts with 'http://' or 'https://' to try again.
Unable to process this search. Please try a different image or keywords.
Try Visual Search
Search, identify objects and text, translate, or solve problems using an image
Drag one or more images here,
upload an image
or
open camera
Drop images here to start your search
To use Visual Search, enable the camera in this browser
Gaeilge
All
Search
Images
Inspiration
Create
Collections
Videos
Maps
News
More
Shopping
Flights
Travel
Notebook
Autoplay all GIFs
Change autoplay and other image settings here
Autoplay all GIFs
Flip the switch to turn them on
Autoplay GIFs
Image size
All
Small
Medium
Large
Extra large
At least... *
Customized Width
x
Customized Height
px
Please enter a number for Width and Height
Color
All
Color only
Black & white
Type
All
Photograph
Clipart
Line drawing
Animated GIF
Transparent
Layout
All
Square
Wide
Tall
People
All
Just faces
Head & shoulders
Date
All
Past 24 hours
Past week
Past month
Past year
License
All
All Creative Commons
Public domain
Free to share and use
Free to share and use commercially
Free to modify, share, and use
Free to modify, share, and use commercially
Learn more
Clear filters
SafeSearch:
Moderate
Strict
Moderate (default)
Off
Filter
2046×1823
pnadu.weebly.com
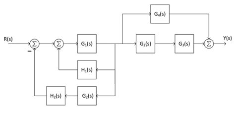
Closed loop transfer function - pnadu
915×559
electronics.stackexchange.com
power engineering - Closed-loop Transfer Function - Electrical ...
665×321
electronics.stackexchange.com
power engineering - Closed-loop Transfer Function - Electrical ...
676×700
solutionspile.com
[Solved]: (a) Derive an expression for the clos…
2320×2020
chegg.com
Solved Find the close-loop transfer function for the | Chegg…
1200×796
www.bartleby.com
Answered: 5. Find the close-loop transfer… | bartleby
1024×768
numerade.com
oints) Consider a unity negative feedback system with the plant ( S G(…
850×637
researchgate.net
Specification and calculated close-loop transfer function calculated ...
700×254
chegg.com
Solved (2) The open loop transfer function of a closed-loop | Chegg.com
631×286
chegg.com
Solved The open loop transfer function of a closed-loop | Chegg.com
700×306
Chegg
Solved A feedback system with negative unity feedback has a | Chegg.com
474×237
numerade.com
SOLVED: Determine the Closed Loop Transfer function of a unity feedback ...
1024×252
chegg.com
Obtain the closed-loop transfer function of a | Chegg.com
700×500
chegg.com
Solved a) Find the closed loop transfer function of the | Chegg.…
949×730
chegg.com
Solved a) Find the closed loop transfer function of the | Che…
798×358
numerade.com
SOLVED: For a unity feedback system with a forward path transfer ...
700×354
numerade.com
SOLVED: Problem 5 (15 points A unity ncgative feedback closed-loop ...
520×278
numerade.com
SOLVED: A non-unity feedback system has the transfer function: G(s ...
809×270
solutionspile.com
[Solved]: draw the closed loop tansfer function graph for
549×212
numerade.com
SOLVED: 3. Derive the transfer function for the feedback closed loop ...
474×259
numerade.com
SOLVED: 3. Derive the transfer function for the feedback closed loop ...
850×505
researchgate.net
The Flyback with feedback control Closed loop transfer function is ...
640×640
researchgate.net
The Flyback with feedback control Closed loop trans…
539×134
chegg.com
Solved Find the closed-loop transfer function for the unity | Chegg.com
1018×1024
chegg.com
Solved 10+ S The closed loop transfer function of …
1835×855
chegg.com
Closed loop transfer function The response of | Chegg.com
1270×750
chegg.com
Solved Derive the closed loop transfer function in reference | Chegg.com
648×326
chegg.com
a. Calculate the closed loop transfer function of | Chegg.com
992×386
www.reddit.com
transfer function of closed loop feedback : r/ControlTheory
1517×648
chegg.com
Solved n a unity feedback control loop, the forward path | Chegg.com
635×190
chegg.com
Solved (a) The closed loop transfer function of a unity | Chegg.com
700×293
chegg.com
Solved The forward, feedback and closed-loop transfer | Chegg.com
1280×337
chegg.com
Solved 1 The closed-loop transfer function of a unity | Chegg.com
1024×384
chegg.com
Solved Given the closed loop transfer function of the unity | Chegg.com
700×338
chegg.com
Solved Q4: Closed-loop transfer function of a unity-feedback | Chegg.com
Some results have been hidden because they may be inaccessible to you.
Show inaccessible results
Report an inappropriate content
Please select one of the options below.
Not Relevant
Offensive
Adult
Child Sexual Abuse
Feedback