このリンクを使用できません。リンクが 'http://' または 'https://' で始まることを確認して、もう一度お試しください。
この検索を処理できません。別の画像またはキーワードをお試しください。
画像検索を試す
画像を使用して検索、オブジェクトやテキストの識別、翻訳、または問題の解決を行う
ここに 1 つ以上の画像をドラッグし、
画像をアップロードする
または
カメラを開く
ご提供いただいた写真は Bing 画像処理サービスの向上のために使用されます。
プライバシー ポリシー
|
使用条件
画像を任意の場所にドロップして検索を開始する
画像検索を使用するには、このブラウザーでカメラを有効にしてください
English
すべて
検索
画像
インスピレーション
作成
コレクション
動画
地図
ニュース
Copilot
さらに表示
ショッピング
フライト
旅行
ノートブック
すべての GIF を自動再生
自動再生およびその他の画像の設定をここで変更する
すべての GIF を自動再生
スイッチをフリップしてそれらをオンにする
GIF の自動再生
画像サイズ
すべて
小
中
大
特大
最低... *
カスタマイズされた幅
x
カスタマイズされた高さ
px
幅と高さの数値を入力してください
色
すべて
カラー
白黒
種類
すべて
写真
クリップアート
線画
アニメーション GIF
透明
レイアウト
すべて
正方形
横長
縦長
人物
すべて
顔のみ
肩から上
日付
すべて
直近 24 時間
1 週間以内
1 か月以内
1 年以内
ライセンス
すべて
すべてのクリエイティブ コモンズ
パブリック ドメイン
無料で共有および使用
無料で共有、商業目的で使用
無料で変更、共有、および使用
無料で変更および共有、商業目的で使用
詳細情報
フィルターのクリア
セーフ サーチ:
中
厳しい
標準 (既定)
オフ
フィルター
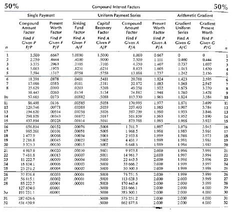
1551x878
initiatewebdevelopment.com
Compound Interest using compound interest tables
740x400
blogspot.com
Interest Table Pdf | Decoration Examples
768x250
money.stackexchange.com
How are compound interest factor tables calculated? - Personal Finance ...
383x311
Weebly
Compound Interest Tables - Get Math Guide
1240x538
Omni Calculator
Compound Interest Calculator [with Formula]
1024x576
ar.inspiredpencil.com
Compound Interest Table
768x1024
scribd.com
Interest Tables | PDF
1024x768
slideplayer.com
Interest Formulas for Single Cash Flows - ppt download
2:54
www.youtube.com > Whats Up Dude
How To Use A Compound Interest Table To Find Compound Interest Amount And Interest Earned
YouTube · Whats Up Dude · 1.6万 回の視聴 · 2022年5月23日
740x958
sacmsa.weebly.com
Compound interest table pdf - sacmsa
705x922
chegg.com
Solved $\begin{tabular}{|l|l…
768x1024
scribd.com
Interest factors tables for discrete …
846x767
ar.inspiredpencil.com
Compound Interest Table
1493x1800
bceweb.org
Compound Interest Chart: A Visual Refer…
624x585
mckenziefacticked.blogspot.com
Compound Interest and Continuous Interest Problem…
710x441
dsaeparty.weebly.com
Compound interest rate table - dsaeparty
686x888
eronu.weebly.com
Compound interest tables - eronu
669x514
excelmojo.com
Compound Interest Formula In Excel - Step by Step Calculation
1024x526
Mergers
Interest Formula | Calculator (Examples with Excel Template)
3:18
www.youtube.com > MS Office Learners
How To Use Accrued Interest Function In Excel | ACCRINT Formula |
YouTube · MS Office Learners · 8066 回の視聴 · 2021年9月30日
700x555
chegg.com
Solved Compound Interest Table Find the simple | Chegg…
1166x913
statology.org
How to Calculate Monthly Compound Interest in Excel
1300x708
genmathyst.blogspot.com
Gen Math Amethyst: October 2018
547x257
writeupcafe.com
How to Calculate Compound Interest in Excel? - WriteUpCafe.com
640x769
nompop.weebly.com
Compound interest annuity tables - no…
1042x844
cuemath.com
Interest Formula - What is Interest Formula? Examples
1280x720
worksheetshq.com
Simple Compound Interest Formula
1000x503
geeksforgeeks.org
Interest Rate Formula | GeeksforGeeks
2:43
www.youtube.com > Whats Up Dude
How To Calculate Find Compound Interest - Formula For Compound Interest -Compound Interest Explained
YouTube · Whats Up Dude · 2.4万 回の視聴 · 2022年2月28日
768x1024
ar.inspiredpencil.com
Compound Interest Table
6:08
YouTube > The Excel Hub
Compound Interest Calculator In Excel - Calculate Savings Using FV Function
YouTube · The Excel Hub · 7.9万 回の視聴 · 2021年1月19日
1650x895
storage.googleapis.com
What Is Compound Interest Calculator at Jennifer Colbert blog
768x594
scribd.com
Exponential Functions & Compound Interest
768x1024
scribd.com
Compound Interest Tables | PDF
一部の結果でアクセス不可の可能性があるため、非表示になっています。
アクセス不可の結果を表示
不適切なコンテンツを報告
以下のいずれかのオプションを選択してください。
関連なし
攻撃的
成人向け
子供への性的嫌がらせ
フィードバック