D'fhéadfaí na grianghraif a chuir tú ar fáil a úsáid chun seirbhísí Bing phróiseáil íomhánna a fheabhsú.
Polasaí príobháideachais
|
Téarmaí Úsáide
Ní féidir an nasc seo a úsáid. Seiceáil go dtosaíonn do nasc le 'http://' nó 'https://' chun triail eile a bhaint as.
Ní féidir an cuardach seo a phróiseáil. Bain triail as íomhá nó as eochairfhocail eile.
Bain triail as Cuardach Amharc
Cuardaigh, aithin oibiachtaí agus téacs, aistrigh nó réitigh fadhbanna le híomhá
Tarraing íomhá amháin nó níos mó anseo,
uaslódáil íomhá
nó
oscail an ceamara
Scaoil íomhánna anseo chun do chuardach a thosú
Chun Cuardach Físiúil a úsáid, cumasaigh an ceamara sa bhrabhsálaí seo
日本語
Gach rud
Cuardach
Íomhánna
Inspioráid
Cruthaigh
Bailiúcháin
Físeáin
Mapaí
Nuacht
Copilot
Tuilleadh
Siopadóireacht
Eitiltí
Taisteal
Nótaleabhar
Uathsheinn gach GIFanna
Athraigh uathsheinn agus socruithe íomhá eile anseo
Uathsheinn gach GIFanna
Smeach an lasc chun iad a chasadh air
GIFanna uathsheachadta
Méid íomhá
Gach ceann
Beag
Meánach
Mór
Ollmhór
Ar a laghad... *
Leithead Saincheaptha
x
Airde Saincheaptha
px
Iontráil uimhir do Leithead agus Airde
Dath
Gach ceann
Dath amháin
Dubh & bán
Cineál
Gach ceann
Grianghraf
Fáisc-ealaín
Líníocht le líne
GIF beochana
Trédhearcach
Leagan amach
Gach ceann
Cearnóg
Leathan
Ard
Daoine
Gach ceann
Aghaidheanna amháin
Ceann &barainní
Dáta
Gach ceann
Le 24 uair an chloig anuas
Le seachtain anuas
Le mí anuas
Le bliain anuas
Ceadúnas
Gach ceann
Gach Creative Commons
Fearann poiblí
Saor in aisce le comhroinnt agus úsáid
Saor in aisce a roinnt agus a úsáid ar bhonn tráchtála
Saor in aisce chun rudaí a mhionathrú, a chomhroinnt agus a úsáid
Saor in aisce chun rudaí a mhionathrú, a chomhroinnt agus a úsáid ar bhonn tráchtála
Tuilleadh faisnéise
Scagairí a ghlanadh
SafeSearch:
Meánach
Docht
Measartha (réamhshocraithe)
As
Scag
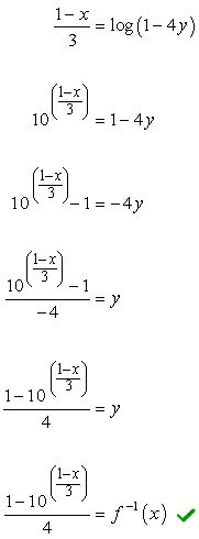
1024×582
mathsathome.com
How to Find an Inverse Function – mathsathome.com
1280×720
www.youtube.com
How to find the Inverse of Logarithmic Functions - YouTube
7:09
study.com
Inverse of Log Functions | Definition & Examples
310×277
chilimath.com
Inverse of Logarithmic Function | ChiliMath
9:46
YouTube > Steve Crow
Finding The Inverse of a Logarithmic Function
YouTube · Steve Crow · 122.5K amharc · 30 Lún 2017
3:14
YouTube > RCHS Math
Finding the Inverse of a Logarithmic Function
YouTube · RCHS Math · 484 amharc · 21 Márta 2018
402×264
chilimath.com
Inverse of Logarithmic Function | ChiliMath
1280×720
YouTube
Finding inverse of a logarithmic function - YouTube
1280×720
YouTube
Chapter 7-3 video 4: Finding the inverse of a logarithmic function ...
13:02
www.youtube.com > The Organic Chemistry Tutor
Inverse of Logarithmic Functions - PreCalculus
YouTube · The Organic Chemistry Tutor · 115.2K amharc · 18 MFómh 2023
960×540
www.ck12.org
Inverse Properties of Logarithms | CK-12 Foundation
2:24
www.youtube.com > The Math Sorcerer
Inverse of Logarithmic Function f(x) = ln(x - 4) + 2
YouTube · The Math Sorcerer · 97.2K amharc · 17 Noll 2014
1024×768
ShowMe
7.4 Inverse Log Functions | Math | ShowMe
6:42
YouTube > MooMooMath and Science
Steps to find the inverse of a logarithm
YouTube · MooMooMath and Science · 8.6K amharc · 27 Noll 2019
1088×618
mathsathome.com
Logarithm Laws Made Easy: A Complete Guide with Examples – mathsathome.c…
304×313
mathbitsnotebook.com
Logarithmic Functions - MathBitsNotebook(A2 …
15:52
YouTube > GreeneMath.com
Special Properties of Logarithms | Finding the Inverse of an Exponential or Logarithmic Function
YouTube · GreeneMath.com · 802 amharc · 15 Aib 2020
409×420
analyzemath.com
Inverse Functions - Definition, Properties, and Examples
1920×1080
nagwa.com
Question Video: Finding an Inverse Logarithmic Function | Nagwa
180×190
chilimath.com
Inverse of Logarithmic Fun…
480×360
YouTube
inverse of a logarithmic function - YouTube
3:28
YouTube > R Parsons
Inverse of a logarithmic function
YouTube · R Parsons · 191.4K amharc · 12 Ean 2008
1920×1080
nagwa.com
Question Video: Finding an Inverse Logarithmic Function | Nagwa
300×261
chilimath.com
Inverse of Logarithmic Function | ChiliMath
181×490
chilimath.com
Inverse of Logarithmic Fu…
1200×956
exofwrkye.blob.core.windows.net
Logarithms Are The Inverse Of at Perla Waugh blog
7:09
study.com
Inverse of Log Functions | Definition & Examples
1700×776
github.io
Logarithmic Functions and Their Graphs
334×59
chilimath.com
Inverse of Logarithmic Function | ChiliMath
1700×765
github.io
Logarithmic Functions and Their Graphs
1340×310
andymath.com
Inverse of Logarithmic Functions
487×363
ar.inspiredpencil.com
Inverse Logarithmic Graph
1140×1298
study.com
Quiz & Worksheet - How to Write the Inverse of …
500×480
quizlet.com
MATH 118: Notes 14 - Inverse & Logarithmic Functions Int…
16:32
www.youtube.com > WiederholdMath
Inverse of Exponential & Log Functions
YouTube · WiederholdMath · 110.7K amharc · 25 Márta 2014
Tá roinnt torthaí folaithe toisc go bhfuil seans ann nach bhfuil siad inrochtana agat.
Taispeáin torthaí dorochtana
Tuairiscigh inneachar mí-oiriúnach
Roghnaigh ceann de na roghanna thíos.
Neamhábhartha
Maslach
Duine fásta
Mí-Úsáid Ghnéasach Leanaí
Aiseolas