The photos you provided may be used to improve Bing image processing services.
Privacy Policy
|
Terms of Use
Can't use this link. Check that your link starts with 'http://' or 'https://' to try again.
Unable to process this search. Please try a different image or keywords.
Try Visual Search
Search, identify objects and text, translate, or solve problems using an image
Drag one or more images here,
upload an image
or
open camera
Drop images here to start your search
To use Visual Search, enable the camera in this browser
Nederlands
All
Search
Images
Inspiration
Create
Collections
Videos
Maps
News
Copilot
More
Shopping
Flights
Travel
Notebook
Top suggestions for Matrix Initial Value
Value
Risk Matrix
Customer
Value Matrix
Value Matrix
Template
Value Matrix
Assessment Types
Value Matrix
Example
Value
Effort Matrix
Business Value Matrix
Template
Cost Vs.
Value Matrix
Personal
Value Matrix
Service
Matrix
Value
vs Complexity Matrix
Partnership
Value Matrix
Exposure
Value Matrix
Value
Proposition Matrix
Matrix
Partners
Marketing
Matrix
Value Matrix
Chart
Veterinary
Value Matrix
Value Matrix
Template Excel
Rate
Value Matrix
Sales
Value Matrix
Value
Map Matrix
Strategic
Value
Price
Matrix
Employee Performance
Matrix
Volume Vs.
Value Matrix
Missing
Value Matrix
Value
Ease Matrix
Products and
Value Matrix
Maintenance
Matrix
R Correlation
Matrix
Benefit Effort
Matrix
Brand
Matrix
Value
Delivery Matrix
Kraljic
Matrix
Complexity V
Value Matrix
Kraljic Matrix
Examples
Value Matrix
for Business
Value
Stick Framework
Value Matrix
Inspo
Consumer Reach
Value Matrix
Business Valuation Multiple
Matrix
Feature Benefit
Matrix
Roi
Matrix
Performance
Values Matrix
Oracle
Matrix
Capability Matrix
Example
How to Find
Value of a Matrix
Feasibility
Matrix
Stock
Matrix
Explore more searches like Matrix Initial Value
How
Find
Business
Customer
Assessment
Types
Time
vs
Supply Chain
Planning
Graph
Examples
Primary
Care
Product
Development
Business
Model
Health Care
Business
Mapping
Tool
Finance
Function
Simple
Complex
Employee
Engagement
Health
Care
Different
Theories
Competitive
Advantage
Autoplay all GIFs
Change autoplay and other image settings here
Autoplay all GIFs
Flip the switch to turn them on
Autoplay GIFs
Image size
All
Small
Medium
Large
Extra large
At least... *
Customized Width
x
Customized Height
px
Please enter a number for Width and Height
Color
All
Color only
Black & white
Type
All
Photograph
Clipart
Line drawing
Animated GIF
Transparent
Layout
All
Square
Wide
Tall
People
All
Just faces
Head & shoulders
Date
All
Past 24 hours
Past week
Past month
Past year
License
All
All Creative Commons
Public domain
Free to share and use
Free to share and use commercially
Free to modify, share, and use
Free to modify, share, and use commercially
Learn more
Clear filters
SafeSearch:
Moderate
Strict
Moderate (default)
Off
Filter
Value
Risk Matrix
Customer
Value Matrix
Value Matrix
Template
Value Matrix
Assessment Types
Value Matrix
Example
Value
Effort Matrix
Business Value Matrix
Template
Cost Vs.
Value Matrix
Personal
Value Matrix
Service
Matrix
Value
vs Complexity Matrix
Partnership
Value Matrix
Exposure
Value Matrix
Value
Proposition Matrix
Matrix
Partners
Marketing
Matrix
Value Matrix
Chart
Veterinary
Value Matrix
Value Matrix
Template Excel
Rate
Value Matrix
Sales
Value Matrix
Value
Map Matrix
Strategic
Value
Price
Matrix
Employee Performance
Matrix
Volume Vs.
Value Matrix
Missing
Value Matrix
Value
Ease Matrix
Products and
Value Matrix
Maintenance
Matrix
R Correlation
Matrix
Benefit Effort
Matrix
Brand
Matrix
Value
Delivery Matrix
Kraljic
Matrix
Complexity V
Value Matrix
Kraljic Matrix
Examples
Value Matrix
for Business
Value
Stick Framework
Value Matrix
Inspo
Consumer Reach
Value Matrix
Business Valuation Multiple
Matrix
Feature Benefit
Matrix
Roi
Matrix
Performance
Values Matrix
Oracle
Matrix
Capability Matrix
Example
How to Find
Value of a Matrix
Feasibility
Matrix
Stock
Matrix
1024×768
slideserve.com
PPT - Ch 7.7: Fundamental Matrices PowerPoint Presentatio…
945×485
chegg.com
Solved (1) Find the solution to the initial value problem | Chegg.com
3:54
YouTube > DarrenOngCL
5.2 Initial value problems for matrix equations
YouTube · DarrenOngCL · 10.5K views · Sep 23, 2014
774×296
chegg.com
Solved Solve the initial value problem using matrices, x' = | Chegg.com
Related Products
Value Matrix Template
Value Matrix Examples
Creating a Value Matrix
1953×549
Chegg
Solved Solve the initial value problem X' = AX, X(0) = (5 | Chegg.com
2506×3262
coursehero.com
[Solved] Solve the initial value prob…
2046×872
fity.club
Matrix Calculator
946×572
numerade.com
SOLVED: Consider the following initial-value problem. 𝐗^'=( 6 9 -1 12 ...
1024×371
Chegg
Solved (Solving an initial value problem: Linear systems: | Chegg.com
1834×368
chegg.com
Solved Rewrite the initial value problem in matrix form and | Chegg.com
Explore more searches like
Matrix
Initial
Value
How Find
Business Customer
Assessment Types
Time vs
Supply Chain Planning
Graph Examples
Primary Care
Product Development
Business Model
Health Care Business
Mapping Tool
Finance Function
1024×384
Chegg
Solved Solve the initial value problem by using the | Chegg.com
1420×1180
Chegg
Solved Rewrite the initial value problem in matrix fo…
1486×310
chegg.com
Solved Problem 2. Solve the following matrix initial value | Chegg.com
377×218
chegg.com
solves the initial value problem X' = AX + F(t), | Chegg.com
1720×488
chegg.com
Solved Solve the initial value problem The matrix A=[1311] | Chegg.com
1406×1270
chegg.com
Solved 5. Compute etA for the following matri…
1024×428
chegg.com
Solved 5. (25) Consider the matrix initial value problem y' | Chegg.com
613×169
Chegg
a. Solve the initial value problem x'= [2 -1 3 -2] | Chegg.com
936×268
chegg.com
Solved Consider the matrix initial value problem y,-Ay. Find | Chegg.com
984×324
chegg.com
Solved Solve the initial value problems. X'(t) = matrix(t), | Chegg.com
1024×326
chegg.com
Solved Use the exponential of a matrix to solve the initial | Chegg.com
1279×523
chegg.com
Solved Find the solution to the initial value problem x = | Chegg.com
602×398
Chegg
Solved Solve the initial value problem x' = (6 35 -1 -6)x, | Chegg.com
828×140
chegg.com
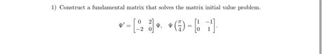
Solved 1) Construct a fundamental matrix that solves the | Chegg.com
540×182
chegg.com
Solved (6) Solve the following initial value problem using | Chegg.com
700×275
chegg.com
Solved 3. For the real 2×2 matrix A, consider the initial | Chegg.com
640×62
chegg.com
Solved Solve the initial value problem (1) with the matrix | Chegg.com
1384×322
chegg.com
Solved 4. Rewrite the initial value problem in matrix form | Chegg.com
1446×500
chegg.com
Solved 5. (25) Consider the matrix initial value problem y' | Chegg.com
5:46
YouTube > The Organic Chemistry Tutor
Initial Value Problem
YouTube · The Organic Chemistry Tutor · 1M views · Nov 26, 2019
1010×215
chegg.com
Solved 3. Rewrite the initial value problem in matrix form | Chegg.com
682×254
numerade.com
SOLVED: Solve the initial-value problems of the system X' AX for the ...
1268×332
chegg.com
Solved 5. (25) Consider the matrix initial value problem y' | Chegg.com
700×150
chegg.com
Solved Rewrite the initial value problem in matrix form and | Chegg.com
700×230
chegg.com
Solved 5. (25) Consider the matrix initial value problem y' | Chegg.com
Some results have been hidden because they may be inaccessible to you.
Show inaccessible results
Report an inappropriate content
Please select one of the options below.
Not Relevant
Offensive
Adult
Child Sexual Abuse
Feedback