ご提供いただいた写真は Bing 画像処理サービスの向上のために使用されます。
プライバシー ポリシー
|
使用条件
このリンクを使用できません。リンクが 'http://' または 'https://' で始まることを確認して、もう一度お試しください。
この検索を処理できません。別の画像またはキーワードをお試しください。
画像検索を試す
画像を使用して検索、オブジェクトやテキストの識別、翻訳、または問題の解決を行う
ここに 1 つ以上の画像をドラッグし、
画像をアップロードする
または
カメラを開く
ここに画像をドロップして検索を開始する
画像検索を使用するには、このブラウザーでカメラを有効にしてください
English
すべて
検索
画像
インスピレーション
作成
コレクション
動画
地図
ニュース
Copilot
さらに表示
ショッピング
フライト
旅行
ノートブック
Multkinomial に関する上位のおすすめ
Multinomial
Logit Model
Mixed Multinomial
Logit
Coefficient
Multinomial
Logistic Regression Table
Multinomial
Logit Graph
Logistic Regression
Results Table
Coefficient
Examples
Ordinal Logistic Regression
Model
Binomial
Discrete
Logistic
Model
Multinomial
Logistic Regression Results Table
Mixed Logit
Model
Probability Mass
Function Graph
多項 Logit
Model
Dirichlet Multinomial
Mixtures
Distribution
Plot
Logistic Regression
Model
Multinomial
Diffusion
Multinomial
Coefficient
Conditional
Logit Model
すべての GIF を自動再生
自動再生およびその他の画像の設定をここで変更する
すべての GIF を自動再生
スイッチをフリップしてそれらをオンにする
GIF の自動再生
画像サイズ
すべて
小
中
大
特大
最低... *
カスタマイズされた幅
x
カスタマイズされた高さ
px
幅と高さの数値を入力してください
色
すべて
カラー
白黒
種類
すべて
写真
クリップアート
線画
アニメーション GIF
透明
レイアウト
すべて
正方形
横長
縦長
人物
すべて
顔のみ
肩から上
日付
すべて
直近 24 時間
1 週間以内
1 か月以内
1 年以内
ライセンス
すべて
すべてのクリエイティブ コモンズ
パブリック ドメイン
無料で共有および使用
無料で共有、商業目的で使用
無料で変更、共有、および使用
無料で変更および共有、商業目的で使用
詳細情報
フィルターのクリア
セーフ サーチ:
中
厳しい
標準 (既定)
オフ
フィルター
Multinomial
Logit Model
Mixed Multinomial
Logit
Coefficient
Multinomial
Logistic Regression Table
Multinomial
Logit Graph
Logistic Regression
Results Table
Coefficient
Examples
Ordinal Logistic Regression
Model
Binomial
Discrete
Logistic
Model
Multinomial
Logistic Regression Results Table
Mixed Logit
Model
Probability Mass
Function Graph
多項 Logit
Model
Dirichlet Multinomial
Mixtures
Distribution
Plot
Logistic Regression
Model
Multinomial
Diffusion
Multinomial
Coefficient
Conditional
Logit Model
multinomial
の検索結果を含めています。
Multkinomial
の検索結果のみを表示しますか?
6:15
study.com
Multinomial Coefficient | Theorem, Formula & Examples
2560x1920
slideserve.com
PPT - Multinomial Distribution PowerPoint Presentation, free downlo…
1150x724
MathWorld
Multinomial Distribution -- from Wolfram MathWorld
1150x724
MathWorld
Multinomial Coefficient -- from Wolfram MathWorld
1280x720
YouTube
Multinomial distribution - YouTube
1280x720
YouTube
Multinomial Distribution: Introduction and Example - YouTube
1:29
YouTube > Drona Lectures
Multinomial Theorem
YouTube · Drona Lectures · 3.8万 回の視聴 · 2015年10月15日
1280x720
YouTube
Multinomial Theorem Example Cont... - YouTube
11:15
YouTube > jbstatistics
Introduction to the Multinomial Distribution
YouTube · jbstatistics · 26.6万 回の視聴 · 2012年12月19日
1280x720
YouTube
Multinomial Theorem Example - YouTube
2560x1920
slideserve.com
PPT - Introduction to Statistics − Day 2 PowerPoint Presentation, free ...
504x320
statlect.com
Multinomial distribution | Properties, proofs, exercises
2133x1500
studypool.com
SOLUTION: Multinomial Theorem and Binomial Theorem Notes - Studypool
2560x1920
slideserve.com
PPT - Multinomial Distribution PowerPoint Presentation, free dow…
829x1742
statology.org
An Introduction to the Multino…
432x83
statlect.com
Multinomial distribution | Properties, proofs, exercises
19:17
www.youtube.com > Mathematics for Mankind- online class by DPM
Multinomial Theorem| Statement and proof
YouTube · Mathematics for Mankind- online class by DPM · 2076 回の視聴 · 2023年1月1日
800x1305
cambridge.org
2412. A new proof of the m…
1280x720
www.youtube.com
Multinomial coefficients - YouTube
1024x768
SlideServe
PPT - MOMENT GENERATING FUNCTION AND STATISTICAL DIST…
432x78
statlect.com
Multinomial distribution | Properties, proofs, exercises
1024x768
SlideServe
PPT - Multinomial Distributions PowerPoint Pr…
700x191
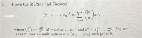
chegg.com
Solved 3. Prove the Multinomial Theorem: | Chegg.com
1501x1138
blog.csdn.net
torch.distributions.multinomial.Mu…
510x402
statorials.org
Distribuição Multinomial - Probabilidade e Estatística
7:31
YouTube > NPTEL-NOC IITM
Multinomial theorem
YouTube · NPTEL-NOC IITM · 3.7万 回の視聴 · 2019年5月6日
2560x1920
slideserve.com
PPT - Multinomial Distribution PowerPoint Presentation, free dow…
850x1100
ResearchGate
(PDF) A GENERALIZATI…
1280x720
YouTube
Multinomial Distribution - YouTube
482x136
Wolfram
Multinomial coefficients: Theorems
768x994
studylib.net
Multinomial Distribution: Pr…
2048x1536
slideshare.net
Binomial dan Multinomial | PDF
663x106
nalab.mind.meiji.ac.jp
3.3 二項定理の一般化「多項定理 (the multinomial theorem)」
768x1024
scribd.com
The Multinomial Theorem | PDF | N…
1024x768
slideserve.com
PPT - Fundamental Principles of Counting Techniques PowerPoint ...
一部の結果でアクセス不可の可能性があるため、非表示になっています。
アクセス不可の結果を表示
不適切なコンテンツを報告
以下のいずれかのオプションを選択してください。
関連なし
攻撃的
成人向け
子供への性的嫌がらせ
フィードバック