The photos you provided may be used to improve Bing image processing services.
Privacy Policy
|
Terms of Use
Can't use this link. Check that your link starts with 'http://' or 'https://' to try again.
Unable to process this search. Please try a different image or keywords.
Try Visual Search
Search, identify objects and text, translate, or solve problems using an image
Drag one or more images here,
upload an image
or
open camera
Drop images here to start your search
To use Visual Search, enable the camera in this browser
All
Search
Images
Inspiration
Create
Collections
Videos
Maps
News
More
Shopping
Flights
Travel
Notebook
Top suggestions for Negative Edge Weighted Directed Graph
Simple
Directed Graph
Weighted Directed Graph
Example
Directed Graph
Undirected Graph
Direct
Graph
Weighted
Digraph
Directed
vs Undirected Graph
What Is a
Directed Graph
Adjacency Matrix of a
Directed Graph
2-Way
Directed Weighted Graph
Directional
Graph
Node
Weighted Graph
Non
Directed Graph
Directed
or Undirected Graph
Directed
Labeled Graphs
Shortest Path in
Weighted Directed Graph
Directed Cyclic
Weighted Graph
Dag
Graph
Complex
Directed Graph
Dijkstra Algorithm
Weighted Directed Graph
Directed Graph
Mô Phỏng
Directed
Acyclic Graph
Weighted Graph
Diagram
Adjacency Matrix for
Directed Weighted Graph
Vertex
Weighted Graph
Java
Weighted Graph
Job Scheduling
Directed Graph
Oriented
Weighted Graph
Python
Directed Graph
Weighted
Squre Graph
Circular
Weighted Graph
R Weighted
Direct Graph
Weighted
and Unweighted Graph
Weighted Graph
Shape
Directed Graph
of JSON
Edge
List Graph
Weakly
Directed Graph
Directed Weighted Graph
Color
Weighted Directed Graph
with Hamiltonian Cycle
Weighted Graph
3D
Weighted
Sparse Graph
Directed Weighted
Graoh Examples
Weighted
Relation Graph
Directed Acyclic Graph
and Kidney Disease
Directed
Space Graph
Transpose of
Directed Graph
Small Flow
Directed Graph
Directed
Grtaph Circle
Weighted Directed Graph
with 3 Points
BFS in
Weighted Graph
Wight
Directed Graph
Explore more searches like Negative Edge Weighted Directed Graph
3
Vertices
Adjacency
List
Alphabet
Jpg
Adjacency
Matrix
Dijkstra
Algorithm
Shortest
Path
Real Life
Examples
Edge
As
Matrix
GCN
3D
Three
Vertices
Dijkstra
BFS
Max
Flow
Star
Example
Optimal Hamiltonian
Tour For
People interested in Negative Edge Weighted Directed Graph also searched for
Pradeep Giri
Academy
Road
Map
Data
Structure
Total
Weight
Positive/Negative
Large-Scale
Different
Types
Computer
Network
Most
Complex
4
Vertices
Suggest
Some
White
Background
Self
Loop
Asymptotic
Matrix
Graphical
Representation
Describe
Location
Theory for
Kids
Draw
networkx
Vertex
JGraphT
Simple
Planar
6
Graphs
UML
Solve
Quiz
About
Application
If
How
Draw
Autoplay all GIFs
Change autoplay and other image settings here
Autoplay all GIFs
Flip the switch to turn them on
Autoplay GIFs
Image size
All
Small
Medium
Large
Extra large
At least... *
Customized Width
x
Customized Height
px
Please enter a number for Width and Height
Color
All
Color only
Black & white
Type
All
Photograph
Clipart
Line drawing
Animated GIF
Transparent
Layout
All
Square
Wide
Tall
People
All
Just faces
Head & shoulders
Date
All
Past 24 hours
Past week
Past month
Past year
License
All
All Creative Commons
Public domain
Free to share and use
Free to share and use commercially
Free to modify, share, and use
Free to modify, share, and use commercially
Learn more
Clear filters
SafeSearch:
Moderate
Strict
Moderate (default)
Off
Filter
Simple
Directed Graph
Weighted Directed Graph
Example
Directed Graph
Undirected Graph
Direct
Graph
Weighted
Digraph
Directed
vs Undirected Graph
What Is a
Directed Graph
Adjacency Matrix of a
Directed Graph
2-Way
Directed Weighted Graph
Directional
Graph
Node
Weighted Graph
Non
Directed Graph
Directed
or Undirected Graph
Directed
Labeled Graphs
Shortest Path in
Weighted Directed Graph
Directed Cyclic
Weighted Graph
Dag
Graph
Complex
Directed Graph
Dijkstra Algorithm
Weighted Directed Graph
Directed Graph
Mô Phỏng
Directed
Acyclic Graph
Weighted Graph
Diagram
Adjacency Matrix for
Directed Weighted Graph
Vertex
Weighted Graph
Java
Weighted Graph
Job Scheduling
Directed Graph
Oriented
Weighted Graph
Python
Directed Graph
Weighted
Squre Graph
Circular
Weighted Graph
R Weighted
Direct Graph
Weighted
and Unweighted Graph
Weighted Graph
Shape
Directed Graph
of JSON
Edge
List Graph
Weakly
Directed Graph
Directed Weighted Graph
Color
Weighted Directed Graph
with Hamiltonian Cycle
Weighted Graph
3D
Weighted
Sparse Graph
Directed Weighted
Graoh Examples
Weighted
Relation Graph
Directed Acyclic Graph
and Kidney Disease
Directed
Space Graph
Transpose of
Directed Graph
Small Flow
Directed Graph
Directed
Grtaph Circle
Weighted Directed Graph
with 3 Points
BFS in
Weighted Graph
Wight
Directed Graph
850×451
researchgate.net
3: Directed edge-weighted graph. 4: Directed node-weighted graph ...
640×640
researchgate.net
3: Directed edge-weighted graph. 4: Dire…
250×137
gabormelli.com
Weighted Directed Graph - GM-RKB
206×177
ResearchGate
Directed Weighted Graph with Negativ…
Related Products
Directed Graphs
Weighted Edges Graph
Theory Books
318×318
ResearchGate
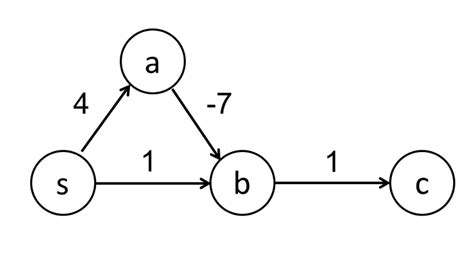
Directed Weighted Graph with Negative Weight Cy…
707×346
numerade.com
Consider the following directed, weighted graph: Q3 Consider the ...
651×755
chegg.com
Solved Consider the following directed, w…
959×504
Chegg
Given a weighted directed graph G with V vertices and | Chegg.com
1024×209
Chegg
Solved Given is a weighted directed graph G (V E, w) with | Chegg.com
802×651
chegg.com
Solved Consider a directed weighted graph G = (V, E) …
1024×354
chegg.com
Solved Let G (V,E) be a directed graph with weighted edges; | Chegg.com
842×474
chegg.com
Solved Consider the following weighted directed graph. Here | Chegg.com
Explore more searches like
Negative Edge
Weighted Directed Graph
3 Vertices
Adjacency List
Alphabet Jpg
Adjacency Matrix
Dijkstra Algorithm
Shortest Path
Real Life Examples
Edge
As Matrix
GCN
3D
Three Vertices
867×429
chegg.com
Solved Consider the following weighted directed graph. Here | Chegg.com
869×494
chegg.com
Solved You are given a simple directed weighted graph with n | Chegg.com
1024×423
Chegg
Solved Let G = (V, E) be a directed graph with weighted | Chegg.com
850×786
researchgate.net
Weighted directed graph of A (λ) | Download Scientific Diagram
1130×638
mathcenter.oxford.emory.edu
Directed and Edge-Weighted Graphs
1090×728
mathcenter.oxford.emory.edu
Directed and Edge-Weighted Graphs
873×1024
chegg.com
Solved (Dijkstra and negative edge weights …
1920×166
chegg.com
Solved Given a weighted directed graph with few negative | Chegg.com
482×223
aaravkruwkim.blogspot.com
Describe a Use of a Weighted Directed Graph - AaravkruwKim
324×148
researchgate.net
7: An example graph with negative weighted edges. | Dow…
450×449
researchgate.net
Input Undirected edge-weighted graph G | Dow…
384×320
researchgate.net
11 Directed edge-weighted auxiliary graph construction. T…
723×490
math.oxford.emory.edu
Directed and Edge-Weighted Graphs
815×121
chegg.com
Solved Problem 2 Give an example of a weighted directed | Chegg.com
People interested in
Negative Edge
Weighted
Directed
Graph
also searched for
Pradeep Giri Academy
Road Map
Data Structure
Total Weight
Positive/Negat
…
Large-Scale
Different Types
Computer Network
Most Complex
4 Vertices
Suggest Some
White Background
608×245
researchgate.net
Comparison of two directed weighted graphs. (a) The first directed ...
2464×686
chegg.com
Solved Let G be a directed graph with edge weights that can | Chegg.com
774×417
researchgate.net
An example of directed unweighted graph with edge capacities ...
1024×722
Chegg
Solved Consider the following weighted, directed graph G. | Che…
625×700
chegg.com
Solved 1. Give an example of a direct…
610×1920
chegg.com
Solved Question:Give…
610×1920
chegg.com
Solved Question:Give…
700×525
chegg.com
Solved Consider a weighted directed graph G=(V,E) where e…
850×751
researchgate.net
The weighted, directed graph G. | Download Scie…
Some results have been hidden because they may be inaccessible to you.
Show inaccessible results
Report an inappropriate content
Please select one of the options below.
Not Relevant
Offensive
Adult
Child Sexual Abuse
Feedback