D'fhéadfaí na grianghraif a chuir tú ar fáil a úsáid chun seirbhísí Bing phróiseáil íomhánna a fheabhsú.
Polasaí príobháideachais
|
Téarmaí Úsáide
Ní féidir an nasc seo a úsáid. Seiceáil go dtosaíonn do nasc le 'http://' nó 'https://' chun triail eile a bhaint as.
Ní féidir an cuardach seo a phróiseáil. Bain triail as íomhá nó as eochairfhocail eile.
Bain triail as Cuardach Amharc
Cuardaigh, aithin oibiachtaí agus téacs, aistrigh nó réitigh fadhbanna le híomhá
Tarraing íomhá amháin nó níos mó anseo,
uaslódáil íomhá
nó
oscail an ceamara
Scaoil íomhánna anseo chun do chuardach a thosú
Chun Cuardach Físiúil a úsáid, cumasaigh an ceamara sa bhrabhsálaí seo
English
Gach rud
Cuardach
Íomhánna
Inspioráid
Cruthaigh
Bailiúcháin
Físeáin
Mapaí
Nuacht
Tuilleadh
Siopadóireacht
Eitiltí
Taisteal
Nótaleabhar
Na moltaí is mó chabhair le haghaidh Network Switch Testing Report Format
Performance
Testing Report Format
Software Testing Report
Template
Network Switch
Wiring Testing Report Format
Examples
Test Report Format
Network Switch Test Report
Formate
Testing Progress Report
Template
Test Summary Report
Software Testing Pinterest
EN1822
Testing Report Format
Summary Report Template for Testing
of Ffth Area
Product
Test Report Format
Blood Test Report Format
in Word
Eicr Testing Report
Template
Sample
of a Game Project Testing Report
Testing
and Commissioning Report Sample
Community Testing Report
Presentation
Web Application
Testing Report Sample Summary
Blank Megger
Testing Report Forms
Electrical Panel Service
Report Format
Testing Report
Template
Report Format
for Engineers
Web Application
Testing Report Sample
Testing Report
Software
Testing Report
Testing
Weekly Status Report Template
Report Format
for Engineers Example
Metal
Testing Report
Automatic Transfer
Switch Test Report Form
CBR Test Report Format
PDF
Network Assessment Report
Example
Electrical Panel
Test Report Format
Mibk
Test Report Format
Development Analysis Tasks
Report Sample in Automation Testing
Testing Report Format
Electrical Testing
Commissioning Report Format
Monthly
Test Report Format
Motor
Test Report Format
Testing
Daily Status Report Template
Cover Page for Electrical
Testing Report
Engineering
Test Report Format
Network Monitoring Report
Template
Motor Type
Test Report Format
Taiscéal tuilleadh cuardaigh cosúil le Network Switch Testing Report Format
ISP
List
Software
Equipment
Control
System
Computer
Science
Tools
List
What Is
Mobile
Fiber
Optic
White
Paper
Wiring
Diagram
People
Do
Wireless
5G
Scan
Streaming
Equipment
Chart
Industry
Phu
Jobs
Animation
HD
Tools
Sale
Frameworks
Thread
Software
Automation
Chuardaigh daoine a bhfuil spéis acu iNetwork Switch Testing Report Format do
Patch
Panel
Fire
Funny
TP-LINK
8-Port
Fisher-Price
Rack
Mount
Indicator
Light
DIN
Rail
Phone
Wallpaper
KERO
23
Uathsheinn gach GIFanna
Athraigh uathsheinn agus socruithe íomhá eile anseo
Uathsheinn gach GIFanna
Smeach an lasc chun iad a chasadh air
GIFanna uathsheachadta
Méid íomhá
Gach ceann
Beag
Meánach
Mór
Ollmhór
Ar a laghad... *
Leithead Saincheaptha
x
Airde Saincheaptha
px
Iontráil uimhir do Leithead agus Airde
Dath
Gach ceann
Dath amháin
Dubh & bán
Cineál
Gach ceann
Grianghraf
Fáisc-ealaín
Líníocht le líne
GIF beochana
Trédhearcach
Leagan amach
Gach ceann
Cearnóg
Leathan
Ard
Daoine
Gach ceann
Aghaidheanna amháin
Ceann &barainní
Dáta
Gach ceann
Le 24 uair an chloig anuas
Le seachtain anuas
Le mí anuas
Le bliain anuas
Ceadúnas
Gach ceann
Gach Creative Commons
Fearann poiblí
Saor in aisce le comhroinnt agus úsáid
Saor in aisce a roinnt agus a úsáid ar bhonn tráchtála
Saor in aisce chun rudaí a mhionathrú, a chomhroinnt agus a úsáid
Saor in aisce chun rudaí a mhionathrú, a chomhroinnt agus a úsáid ar bhonn tráchtála
Tuilleadh faisnéise
Scagairí a ghlanadh
SafeSearch:
Meánach
Docht
Measartha (réamhshocraithe)
As
Scag
Performance
Testing Report Format
Software Testing Report
Template
Network Switch
Wiring Testing Report Format
Examples
Test Report Format
Network Switch Test Report
Formate
Testing Progress Report
Template
Test Summary Report
Software Testing Pinterest
EN1822
Testing Report Format
Summary Report Template for Testing
of Ffth Area
Product
Test Report Format
Blood Test Report Format
in Word
Eicr Testing Report
Template
Sample
of a Game Project Testing Report
Testing
and Commissioning Report Sample
Community Testing Report
Presentation
Web Application
Testing Report Sample Summary
Blank Megger
Testing Report Forms
Electrical Panel Service
Report Format
Testing Report
Template
Report Format
for Engineers
Web Application
Testing Report Sample
Testing Report
Software
Testing Report
Testing
Weekly Status Report Template
Report Format
for Engineers Example
Metal
Testing Report
Automatic Transfer
Switch Test Report Form
CBR Test Report Format
PDF
Network Assessment Report
Example
Electrical Panel
Test Report Format
Mibk
Test Report Format
Development Analysis Tasks
Report Sample in Automation Testing
Testing Report Format
Electrical Testing
Commissioning Report Format
Monthly
Test Report Format
Motor
Test Report Format
Testing
Daily Status Report Template
Cover Page for Electrical
Testing Report
Engineering
Test Report Format
Network Monitoring Report
Template
Motor Type
Test Report Format
768×1024
scribd.com
Extreme Networks Switches Test Re…
401×118
community.cisco.com
Switch test Report - Cisco Community
768×1024
scribd.com
Electronic Switches Test Re…
500×694
Fluke Networks
Network Cable Test Report Exa…
932×876
peon.opteo.com
Test Format Template
768×1024
scribd.com
ATS Test Report 34 | Switch | Relay
770×1024
pdffiller.com
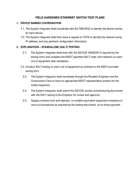
Fillable Online FIELD HARDENED ETHER…
799×514
methodstatementhq.com
Final Distribution Boards Testing Report Checklist – Method Statement HQ
773×879
modernpowerja.com
Modern Power & Cooling Technology Ltd. - Struct…
947×841
slidesdocs.com
Free Inspection Report Templates For Google Sheets And Microsof…
768×1024
scribd.com
Metal Enclosed Switchgear Test Re…
638×903
swiftsparks.com
Network Analysis Report Templat…
792×1024
purplesec.us
Sample Network Penetration Test Report Template
737×393
prntbl.concejomunicipaldechinu.gov.co
Network Documentation Template Excel - prntbl.concejomunicipaldechinu ...
1200×628
platinumtools.com
How to deliver professional cable and network testing documentation ...
Taiscéal tuilleadh cuardaigh cosúil le
Network
Switch
Testing
Report Format
ISP List
Software Equipment
Control System
Computer Science
Tools List
What Is Mobile
Fiber Optic
White Paper
Wiring Diagram
People Do
Wireless
5G
1439×1955
storage.googleapis.com
Fluke Network Cable Tester Wit…
1650×1275
old.sermitsiaq.ag
Network Port Mapping Template
768×1024
scribd.com
Test Report: Request No. 14-0…
600×730
template.net
13+ Test Report Templates - PDF, Google Docs, Word, App…
701×384
investmentcastchina.com
Material Testing & Chemical Analysis | CFS Foundry
1280×720
pridetestingservices.in
Ethernet Switch Testing | Pride Testing Services for Quality
768×1024
scribd.com
ACB & VCB (1) Test Table Fro…
2500×1657
Template Lab
43 Test Case Templates / Examples from TOP Software Companies ...
1313×373
GL COMMUNICATIONS INC
Multiport Ethernet Switch Testing Made Easy - Newsletter
1545×523
automationforum.co
Network switch port allocation details
1648×920
GL COMMUNICATIONS INC
High Density Multiport 1G/10G Ethernet Switch Testing Made Easy ...
1024×503
linkedin.com
Multiport Ethernet Switch Testing Made Easy!!
1200×675
softedgesolutions.co.za
WiFi Installers - Soft Edge Solutions
1159×747
storage.googleapis.com
Network Test Plan at Patty Armbruster blog
320×247
slideshare.net
Switch Testing Made Difficult | PPT
1115×781
sampletemplate.my.id
Electrical Installation Test Certificate Template - Sampletemplate.my.id
Chuardaigh daoine a bhfuil spéis acu i
Network Switch
Testing Report Format
do
Patch Panel
Fire Funny
TP-LINK 8-Port
Fisher-Price
Rack Mount
Indicator Light
DIN Rail
Phone Wallpaper
KERO 23
623×774
stabletechnical.com
Certify your network to improve performanc…
768×1024
id.scribd.com
Test Report Transformer PDF | …
5:05
www.youtube.com > Clock Edge
How to Use and Test Ethernet Switch
YouTube · Clock Edge · 4.8K amharc · 17 Iúil 2020
768×1024
scribd.com
Circuit Breaker Test Report | PDF
Tá roinnt torthaí folaithe toisc go bhfuil seans ann nach bhfuil siad inrochtana agat.
Taispeáin torthaí dorochtana
Tuairiscigh inneachar mí-oiriúnach
Roghnaigh ceann de na roghanna thíos.
Neamhábhartha
Maslach
Duine fásta
Mí-Úsáid Ghnéasach Leanaí
Aiseolas