D'fhéadfaí na grianghraif a chuir tú ar fáil a úsáid chun seirbhísí Bing phróiseáil íomhánna a fheabhsú.
Polasaí príobháideachais
|
Téarmaí Úsáide
Ní féidir an nasc seo a úsáid. Seiceáil go dtosaíonn do nasc le 'http://' nó 'https://' chun triail eile a bhaint as.
Ní féidir an cuardach seo a phróiseáil. Bain triail as íomhá nó as eochairfhocail eile.
Bain triail as Cuardach Amharc
Cuardaigh, aithin oibiachtaí agus téacs, aistrigh nó réitigh fadhbanna le híomhá
Tarraing íomhá amháin nó níos mó anseo,
uaslódáil íomhá
nó
oscail an ceamara
Scaoil íomhánna anseo chun do chuardach a thosú
Chun Cuardach Físiúil a úsáid, cumasaigh an ceamara sa bhrabhsálaí seo
English
Gach rud
Cuardach
Íomhánna
Inspioráid
Cruthaigh
Bailiúcháin
Físeáin
Mapaí
Nuacht
Tuilleadh
Siopadóireacht
Eitiltí
Taisteal
Nótaleabhar
Na moltaí is mó chabhair le haghaidh Series Parallel Graph
Parallel
Edge Graph
Parallel
Line Chart
Parallel
Lines Graph
Perpendicular
Graph
Parallel Graph
Equation
Parallel
Lines Slope
Example of
Parallel Graph
Parallel
or Perpendicular Lines
Parallel Graph
Theory
Parallel
Straight Line Graph
Linear Equation
Graph
Geometry Parallel
and Perpendicular Lines
Parallel
Sign Graph
Simple Straight Line
Graph
Parallel
Lines Gradient
Parallel
Equations
Parallel
Processing Graph
Parallel
Plot Structure
Parallel
Coordinates Graph
Line Parallel
to a Plane
Find Perpendicular
Line
Paralelet
Parallel
Perpendicular or Neither
Graph
for Lines
Parallel
Project Graph
Parallel
to the Y-Axis
Parallel
Sets Graph
Parallel
Lines Graphed
Parallel
in Graphing
Parallel
Tangent Lines
Slopes of Parallel
and Perpendicular Lines
Slope Intercept Form
Worksheet
Perpendicular
Objects
Parallel
Features Graph
Parallel
Lines Equation Examples
Parallel
Lines and Angles Worksheet
Parallel
Grid
Perpendicular
Sample
Parallel
-Group Graph
Parallel
Combination Graph
Different
Parallel Graph
Parallel
vs Perpendicular Lines
Parallel
Computing Graph
Parallel
Lines Have the Same Slope
Parralel Lines
Graph
Perpendicular Same Line Parallel Theorem
Parallel
Map
Geometry Parallel
Lines and Angles Worksheets
Coincide
Lines
Taiscéal tuilleadh cuardaigh cosúil le Series Parallel Graph
Perpendicular
Lines
Sales
Marketing
Linear
Equations
Line Going
Through
DS
Series
Street
Comparison
Programming
Lines
Example
Trend
Line
Assay
Line
Shaded
Coming across
Each Other
Lines
Cuts
Horizontal
Lines
Lines GCSE
Linear
Chuardaigh daoine a bhfuil spéis acu iSeries Parallel Graph do
Tree
Images
Two Lines Are
Marked
That Is Not Perpendicular
Or
Perpendicular
Equation Line
Perpendicular Neither
Example
Example
Uathsheinn gach GIFanna
Athraigh uathsheinn agus socruithe íomhá eile anseo
Uathsheinn gach GIFanna
Smeach an lasc chun iad a chasadh air
GIFanna uathsheachadta
Méid íomhá
Gach ceann
Beag
Meánach
Mór
Ollmhór
Ar a laghad... *
Leithead Saincheaptha
x
Airde Saincheaptha
px
Iontráil uimhir do Leithead agus Airde
Dath
Gach ceann
Dath amháin
Dubh & bán
Cineál
Gach ceann
Grianghraf
Fáisc-ealaín
Líníocht le líne
GIF beochana
Trédhearcach
Leagan amach
Gach ceann
Cearnóg
Leathan
Ard
Daoine
Gach ceann
Aghaidheanna amháin
Ceann &barainní
Dáta
Gach ceann
Le 24 uair an chloig anuas
Le seachtain anuas
Le mí anuas
Le bliain anuas
Ceadúnas
Gach ceann
Gach Creative Commons
Fearann poiblí
Saor in aisce le comhroinnt agus úsáid
Saor in aisce a roinnt agus a úsáid ar bhonn tráchtála
Saor in aisce chun rudaí a mhionathrú, a chomhroinnt agus a úsáid
Saor in aisce chun rudaí a mhionathrú, a chomhroinnt agus a úsáid ar bhonn tráchtála
Tuilleadh faisnéise
Scagairí a ghlanadh
SafeSearch:
Meánach
Docht
Measartha (réamhshocraithe)
As
Scag
Parallel
Edge Graph
Parallel
Line Chart
Parallel
Lines Graph
Perpendicular
Graph
Parallel Graph
Equation
Parallel
Lines Slope
Example of
Parallel Graph
Parallel
or Perpendicular Lines
Parallel Graph
Theory
Parallel
Straight Line Graph
Linear Equation
Graph
Geometry Parallel
and Perpendicular Lines
Parallel
Sign Graph
Simple Straight Line
Graph
Parallel
Lines Gradient
Parallel
Equations
Parallel
Processing Graph
Parallel
Plot Structure
Parallel
Coordinates Graph
Line Parallel
to a Plane
Find Perpendicular
Line
Paralelet
Parallel
Perpendicular or Neither
Graph
for Lines
Parallel
Project Graph
Parallel
to the Y-Axis
Parallel
Sets Graph
Parallel
Lines Graphed
Parallel
in Graphing
Parallel
Tangent Lines
Slopes of Parallel
and Perpendicular Lines
Slope Intercept Form
Worksheet
Perpendicular
Objects
Parallel
Features Graph
Parallel
Lines Equation Examples
Parallel
Lines and Angles Worksheet
Parallel
Grid
Perpendicular
Sample
Parallel
-Group Graph
Parallel
Combination Graph
Different
Parallel Graph
Parallel
vs Perpendicular Lines
Parallel
Computing Graph
Parallel
Lines Have the Same Slope
Parralel Lines
Graph
Perpendicular Same Line Parallel Theorem
Parallel
Map
Geometry Parallel
Lines and Angles Worksheets
Coincide
Lines
1150×724
mathworld.wolfram.com
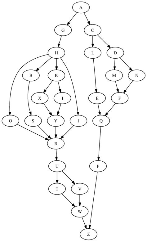
Series-Parallel Graph -- from Wolfram MathWorld
639×195
researchgate.net
A series-parallel graph | Download Scientific Diagram
195×195
researchgate.net
A series-parallel graph | Download Scientifi…
850×704
researchgate.net
Series and parallel composition for a series-parallel graph | Dow…
850×664
researchgate.net
Series-parallel graph G | Download Scientific Diagram
1200×1753
handwiki.org
Series–parallel graph - HandWiki
492×178
researchgate.net
A series-parallel graph. | Download Scientific Diagram
178×178
researchgate.net
A series-parallel graph. | Download …
320×320
researchgate.net
Smallest non-series-parallel graph in N-shape…
850×630
researchgate.net
4: Tree representation of a series-parallel graph. | Download ...
242×363
buecher.de
Series-Parallel Graph - englisc…
745×379
researchgate.net
Series Parallel Graph sp(m, r, 2). | Download Scientific Diagram
270×270
researchgate.net
Series Parallel Graph sp(m, r, 2). | Download …
379×379
researchgate.net
Series Parallel Graph sp(m, r, 2). | Download …
Taiscéal tuilleadh cuardaigh cosúil le
Series
Parallel Graph
Perpendicular Lines
Sales Marketing
Linear Equations
Line Going Through
DS
Series
Street
Comparison
Programming
Lines Example
Trend
Line Assay
447×447
researchgate.net
Series Parallel Graph sp(m, r, 2). | Downloa…
130×130
researchgate.net
A series-parallel graph obtaine…
542×324
ResearchGate
SP tree from series-parallel graph | Download Scientific Diagram
320×320
ResearchGate
SP tree from series-parallel graph | Down…
850×142
researchgate.net
(a) A minimal graph story of a series-parallel graph that is not ...
171×171
researchgate.net
(a) A minimal graph story of a series-p…
530×399
researchgate.net
A prism-forbidden series-parallel graph. | Download Scientific Dia…
320×320
researchgate.net
Left: Basic series-parallel graph; Center: …
850×329
researchgate.net
a A flat series-parallel graph. b Base case of Lemma 7, and c recursive ...
320×320
researchgate.net
a A flat series-parallel graph. b Base case of …
553×592
researchgate.net
EACF on two terminal series parallel graph | …
143×143
researchgate.net
A Series-parallel graph with two br…
850×735
researchgate.net
(a) A series-parallel graph G, (b) a 2-vertex-separator tre…
271×271
researchgate.net
(a) A series-parallel graph G, (b) a 2-vertex-separat…
320×320
researchgate.net
(a) A series-parallel graph G, (b) a 2-vertex-separat…
315×315
researchgate.net
(a) A series-parallel graph G, (b) a 2-vertex-separat…
158×158
researchgate.net
A series parallel graph generate…
936×365
chegg.com
2. In the series-parallel graph below (a) construct | Chegg.com
1154×390
chegg.com
Solved 2. In the series-parallel graph below (a) construct | Chegg.com
592×169
chegg.com
Solved Consider the series-parallel graph of Figure 1(c). | Chegg.com
Chuardaigh daoine a bhfuil spéis acu i
Series
Parallel Graph
do
Tree Images
Two Lines Are Marked
That Is Not Perpendicular Or
Perpendicular Equation Line
Perpendicular Neither Example
Example
560×922
researchgate.net
The series-parallel graph f…
Tá roinnt torthaí folaithe toisc go bhfuil seans ann nach bhfuil siad inrochtana agat.
Taispeáin torthaí dorochtana
Tuairiscigh inneachar mí-oiriúnach
Roghnaigh ceann de na roghanna thíos.
Neamhábhartha
Maslach
Duine fásta
Mí-Úsáid Ghnéasach Leanaí
Aiseolas