De door u verstrekte foto's kunnen worden gebruikt om de beeldbewerkingsservices van Bing te verbeteren.
Privacybeleid
|
Gebruiksvoorwaarden
Kan deze koppeling niet gebruiken. Controleer of je koppeling begint met 'http://' of 'https://' om het opnieuw te proberen.
Kan deze zoekopdracht niet verwerken. Probeer een andere afbeelding of trefwoorden.
Visual Search proberen
Zoeken, identificeren van objecten en tekst, vertalen of problemen oplossen met een afbeelding
Sleep een of meer afbeeldingen hierheen,
een afbeelding uploaden
of
camera openen
Sleep afbeeldingen hierheen om je zoekopdracht te starten
Schakel de camera in deze browser in om Visual Search te gebruiken
English
Alles
Zoeken
Afbeeldingen
Inspiratie
Maken
Collecties
Video's
Kaarten
Nieuws
Copilot
Meer
Shopping
Vluchten
Reizen
Notitieboek
Topsuggesties voor Triangularized Matrix
Matrix
Tabel
Matrix
Maken
Matrix
Background
Een
Matrix
Matrix
Fitness
Matrix
Excel
Matrix
Kleuters
Decision
Matrix
Matrix
Model
Eisenhower
Matrix
Matrix
Voorbeeld
Matrix
Films
Matrix
Foto
Matrix
Structure
Matrix
Organogram
Matrix
Figuur
Matrix
Logo
Matrix
Screen
Matrix
Achtergrond
Matrix
Wiskunde
Matrix
Wallpaper
Matrix
Bloemen
Matrix
Organization
Ambivalentie
Matrix
Trinity
Matrix
The Matrix
Code
Matrix
Sentinel
GE
Matrix
Matrix
Film
Matrix
Scheme
Matrices
Matrix
Multiplication
Matrix
Table
Keanu Reeves
Matrix
Mathematical
Matrix
Matrix
Acteurs
Matrix
Rekenen
Matrix
Kleuter
Confusion
Matrix
Ansoff
Matrix
The Matrix
Film Poster
Matrix
Document
Matrices
Vermenigvuldigen
Oracle
Matrix
Matrix
Sene
Matrix
Graph
Matrix
Visteller
SFA Matrix
Template
Scheefsymmetrische
Matrix
Matrix
Screensaver
Meer zoekacties als Triangularized Matrix verkennen
Greenscreen
Andrew
Tate
Wallpaper
PC
Film
Poster
SWOT-Analyse
Bureaublad
Achtergrond
Wallpaper
4K
Asus
4090
Film
Posters
Black
Bunny
Solorolor
02
City
Map
Munt En
Beschermhoes
Epic Desktop
Wallpaper
Cool Wallpaper
4K
World
Map
Razer Wallpaper
4K
Wallpaper
4K PC
Kleuren
Groen
Sign
Trinity
Avatar
Characters
Math
Background
Aesthetic
1
Animated
Kluun
Poster
Pictures
Blauw
Actor
5
Mensen geïnteresseerd in Triangularized Matrix hebben ook gezocht naar
Break
Out
Happy
Holidays
Main
Character
PNG
Effect
Cast
Modale
Cypher
Backdrop
4
4K
De
Movie
Poster
Go
Alle GIF-bestanden automatisch afspelen
Wijzig automatisch afspelen en andere instellingen voor afbeeldingen hier
Alle GIF-bestanden automatisch afspelen
Zet de knop om om ze in te schakelen
GIF-bestanden automatisch afspelen
Afbeeldingsformaat
Alles
Klein
Gemiddeld
Groot
Extra groot
Ten minste...*
Aangepaste breedte
x
Aangepaste hoogte
px
Voer een getal in voor Breedte en Hoogte
Kleur
Alles
Alleen kleur
Zwart-wit
Type
Alles
Foto
Clipart
Lijntekening
GIF-animatie
doorzichtig
Indeling
Alles
Vierkant
Breed
Hoog
Personen
Alles
Alleen gezichten
Hoofd en schouders
Datum
Alles
De afgelopen 24 uur
De afgelopen week
De afgelopen maand
Het afgelopen jaar
Licentie
Alles
Alle Creative Commons
Openbaar domein
Mag worden gedeeld en gebruikt
Mag worden gedeeld en commercieel worden gebruikt
Mag worden aangepast, gedeeld en gebruikt
Mag worden aangepast, gedeeld en commercieel worden gebruikt
Meer informatie
Filters wissen
Veilig Zoeken:
Gemiddeld
Streng
Gemiddeld (standaard)
Uit
Filter
Matrix
Tabel
Matrix
Maken
Matrix
Background
Een
Matrix
Matrix
Fitness
Matrix
Excel
Matrix
Kleuters
Decision
Matrix
Matrix
Model
Eisenhower
Matrix
Matrix
Voorbeeld
Matrix
Films
Matrix
Foto
Matrix
Structure
Matrix
Organogram
Matrix
Figuur
Matrix
Logo
Matrix
Screen
Matrix
Achtergrond
Matrix
Wiskunde
Matrix
Wallpaper
Matrix
Bloemen
Matrix
Organization
Ambivalentie
Matrix
Trinity
Matrix
The Matrix
Code
Matrix
Sentinel
GE
Matrix
Matrix
Film
Matrix
Scheme
Matrices
Matrix
Multiplication
Matrix
Table
Keanu Reeves
Matrix
Mathematical
Matrix
Matrix
Acteurs
Matrix
Rekenen
Matrix
Kleuter
Confusion
Matrix
Ansoff
Matrix
The Matrix
Film Poster
Matrix
Document
Matrices
Vermenigvuldigen
Oracle
Matrix
Matrix
Sene
Matrix
Graph
Matrix
Visteller
SFA Matrix
Template
Scheefsymmetrische
Matrix
Matrix
Screensaver
556×430
chegg.com
Solved Triangularize the following matrices and compute the | Cheg…
850×326
ResearchGate
One step of the rank update method: partially triangularized matrix ...
962×1094
chegg.com
Solved Gauss elimination: triangula…
1024×768
slideserve.com
PPT - ECE 530 – Analysis Techniques for Large-Scale Electrical Systems ...
459×340
researchgate.net
Triangularization of basis matrix. | Download Scientific …
320×247
slideshare.net
Numerical Methods in Civil engineering for problem sol…
453×700
chegg.com
Solved Movements be…
320×320
researchgate.net
Triangularization of basis matrix. | Downl…
367×367
ResearchGate
One step of the rank update method: parti…
631×550
chegg.com
Solved The Gaussian elimination is used to de…
700×648
chegg.com
Solved The Gaussian elimination is used to dete…
756×465
chegg.com
Solved The Gaussian elimination is used to determine the | Chegg.com
320×247
slideshare.net
Numerical Methods in Civil engineering for problem solvin…
1526×766
chegg.com
Solved Triangularize the following matrices and compute the | Chegg.com
Meer zoekacties als
Triangularized
Matrix
verkennen
Greenscreen
Andrew Tate
Wallpaper PC
Film Poster
SWOT-Analyse
Bureaublad Achtergrond
Wallpaper 4K
Asus 4090
Film Posters
Black Bunny
Solorolor 02
City Map
508×475
researchgate.net
Absolute values of the entries of the block upper triangulariz…
418×418
researchgate.net
Overview of 2D and 3D geometries of AF maps. (A…
1120×980
chegg.com
Solved The company has 6 warehouse areas in their stockr…
320×320
researchgate.net
Spherical shell from Fig. 1 triangularized into 500 trian…
640×640
researchgate.net
Illustration of different meshes. (a1) Three triangul…
8:07
www.youtube.com > Demoj Maths And Science Tutors
How to Find the Transpose of A Matrix | Matrices | Matrix Transpose Rules
YouTube · Demoj Maths And Science Tutors · 13,8K weergaven · 4 aug. 2024
694×150
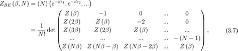
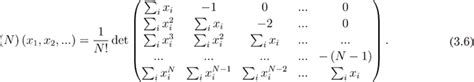
iopscience.iop.org
Canonical partition functions: ideal quantum gases, interacting ...
1352×672
chegg.com
Solved A. For the Ocean World Theme Park problem, calculate | Chegg.com
954×286
geeksforgeeks.org
Introduction to Matrices - GeeksforGeeks
850×299
researchgate.net
Overview of 2D and 3D geometries of AF maps. (A) Triangularized 2D grid ...
942×804
chegg.com
Solved Community College A B C D E F A 1…
320×226
slideshare.net
7-Clipping-16 (1).pdf
560×420
researchgate.net
A Comparison between the Approximated First Order P…
693×121
iopscience.iop.org
Canonical partition functions: ideal quantum gases, interacting ...
1350×775
chegg.com
Solved Question 12 6 pts The Gaussian elimination is used to | Chegg.com
598×139
researchgate.net
The Convergence of a Triangularized Sphere | Download Table
Mensen geïnteresseerd in
Triangularized
Matrix
hebben ook gezocht naar
Break Out
Happy Holidays
Main Character
PNG
Effect
Cast
Modale
Cypher
Backdrop
4 4K
De
Movie Poster
2048×1582
slideshare.net
NUMERICAL METHODS IN STEADY STATE, 1D and 2D HEAT CONDUCTI…
850×1290
researchgate.net
Triangularized Orthogonalizati…
1024×768
slideserve.com
PPT - ECE 530 – Analysis Techniques for Large-Scale Electrical Systems ...
320×320
researchgate.net
A Comparison between the Approximated First Order P…
320×320
researchgate.net
Triangularization of basis matrix. | Download Scientif…
Sommige resultaten zijn verborgen omdat ze mogelijk niet toegankelijk zijn voor u.
Bekijk niet-toegankelijke resultaten
Ongepaste inhoud melden
Selecteer een van de onderstaande opties.
Niet relevant
Aanstootgevend
18+
Kindermisbruik
Feedback