The photos you provided may be used to improve Bing image processing services.
Privacy Policy
|
Terms of Use
Can't use this link. Check that your link starts with 'http://' or 'https://' to try again.
Unable to process this search. Please try a different image or keywords.
Try Visual Search
Search, identify objects and text, translate, or solve problems using an image
Drag one or more images here,
upload an image
or
open camera
Drop images here to start your search
To use Visual Search, enable the camera in this browser
Gaeilge
All
Search
Images
Inspiration
Create
Collections
Videos
Maps
News
Copilot
More
Shopping
Flights
Travel
Notebook
Top suggestions for Beta Regression Maximum Likelihood Multivariate
Maximum Likelihood
Estimator
Maximum Likelihood
Formula
Maximum Likelihood
Function
Maximum Likelihood
Estimation
Log-Likelihood
Formula
Maximum Likelihood
Estimation Linear Regression
Logistic
Regression Maximum Likelihood
Logistic Regression Model
Maximum Likelihood Estimation
Likelihood
for Logistic Regression
Maximum Likelihood
Evolution
MLE
Regression
Maximum Likelihood
Estimation Example
Maximum Likelihood
Estimation in Regression Analysis
Maximum Likelihood
Function Poisson
Linear Regression Maximum Likelihood
Exam Question
Maximum Likelihood
Plot
Logistic Regression Model Maximum Likelihood
Estimation GIF
Maximum
Variation Sampling
Normal Binomial
Distribution
Logit Model
Maximum Likelihood Estimation
Maximum Likelihood
Fit
Maximum Likelihood
Principle
Maximum Likelihood
and Least Squares
Maximum Likelihood
Solution
Log Normal Distribution
Curve
Linear vs Logistic
Regression
Linear Regression
Ml
Minimize Log-
Likelihood
Likelihood
Interval
Maximum Likelihood
Approach
Maximum Likelihood
Estimation Variance
Maximum Likelihood
Estimation Code
Gaussian
Likelihood
Maximum Likelihood
Formula for Multiple Classes
Maximum Likelihood
Estimate Linear Regression
Likelihod Logistic
Regression
MLE
Proof
Maximum Likelihood
Estimation Method
Maxixum
Likelihood
Maximum Likelihood
Estimation Derivation
Maximum Likelihood
Ball
Linear Regression
Maxiummum Likelihood
Maximum Likelihood
Estimation Lineả Regression
Maximum Likelihood
Estimation Calculation
Maximum Likelihood
Estimation Graph
Define Maximum Likelihood
in Machine Learning
Maxium Likelihood
Function
Maximum Likelihood
Matrix Colored
Maximum Likelihood
Estimation vs Least Square
Step by Step
Maximum Likelihood Estimation
Explore more searches like Beta Regression Maximum Likelihood Multivariate
Machine
Learning
Variable
Types
Node-Red
Risk
Factors
Pictorial
Description
Water Quality
Parameters
Ml
Models
Vector
Plot
Relevance
Vector
What Is
Sphere
Statistics
Book
Architecture
Diagram
Matrix
Form
Coefficient
Data
Visualize
Definition
Analysis
Stata
Stata
Command
How
Use
Conceptual
Model For
Polynomial
Statistical
Analysis
SSR
vs
Univariate
Calculation
Advantages
People interested in Beta Regression Maximum Likelihood Multivariate also searched for
Standard
Error
Model
Example
Analysis
Example
Analysis
Test
Nodule
Table
For
Data
For
Notes
Assignments
Formulas
Result
Statistics
Multiple
Analysis
Simplified
Circular
Illustration
Autoplay all GIFs
Change autoplay and other image settings here
Autoplay all GIFs
Flip the switch to turn them on
Autoplay GIFs
Image size
All
Small
Medium
Large
Extra large
At least... *
Customized Width
x
Customized Height
px
Please enter a number for Width and Height
Color
All
Color only
Black & white
Type
All
Photograph
Clipart
Line drawing
Animated GIF
Transparent
Layout
All
Square
Wide
Tall
People
All
Just faces
Head & shoulders
Date
All
Past 24 hours
Past week
Past month
Past year
License
All
All Creative Commons
Public domain
Free to share and use
Free to share and use commercially
Free to modify, share, and use
Free to modify, share, and use commercially
Learn more
Clear filters
SafeSearch:
Moderate
Strict
Moderate (default)
Off
Filter
Maximum Likelihood
Estimator
Maximum Likelihood
Formula
Maximum Likelihood
Function
Maximum Likelihood
Estimation
Log-Likelihood
Formula
Maximum Likelihood
Estimation Linear Regression
Logistic
Regression Maximum Likelihood
Logistic Regression Model
Maximum Likelihood Estimation
Likelihood
for Logistic Regression
Maximum Likelihood
Evolution
MLE
Regression
Maximum Likelihood
Estimation Example
Maximum Likelihood
Estimation in Regression Analysis
Maximum Likelihood
Function Poisson
Linear Regression Maximum Likelihood
Exam Question
Maximum Likelihood
Plot
Logistic Regression Model Maximum Likelihood
Estimation GIF
Maximum
Variation Sampling
Normal Binomial
Distribution
Logit Model
Maximum Likelihood Estimation
Maximum Likelihood
Fit
Maximum Likelihood
Principle
Maximum Likelihood
and Least Squares
Maximum Likelihood
Solution
Log Normal Distribution
Curve
Linear vs Logistic
Regression
Linear Regression
Ml
Minimize Log-
Likelihood
Likelihood
Interval
Maximum Likelihood
Approach
Maximum Likelihood
Estimation Variance
Maximum Likelihood
Estimation Code
Gaussian
Likelihood
Maximum Likelihood
Formula for Multiple Classes
Maximum Likelihood
Estimate Linear Regression
Likelihod Logistic
Regression
MLE
Proof
Maximum Likelihood
Estimation Method
Maxixum
Likelihood
Maximum Likelihood
Estimation Derivation
Maximum Likelihood
Ball
Linear Regression
Maxiummum Likelihood
Maximum Likelihood
Estimation Lineả Regression
Maximum Likelihood
Estimation Calculation
Maximum Likelihood
Estimation Graph
Define Maximum Likelihood
in Machine Learning
Maxium Likelihood
Function
Maximum Likelihood
Matrix Colored
Maximum Likelihood
Estimation vs Least Square
Step by Step
Maximum Likelihood Estimation
1024×768
SlideServe
PPT - Bayesian Essentials and Bayesian Regression PowerPoint ...
1344×1344
bookdown.org
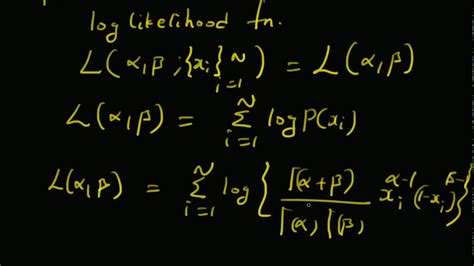
4.3 Model formulation and estimation by maximum likeli…
1452×1068
Chegg
Solved We use maximum likelihood to estimate the parameters. | Chegg.com
1248×1248
topmodels.r-forge.r-project.org
Extended Beta Regression in R: Shaken, Stirred, Mixed, and P…
Related Products
Multivariate Regression Book
Linear Multivariate Reg…
Multivariate Regression Boo…
589×589
researchgate.net
Maximum likelihood model parameters. (a…
850×571
researchgate.net
Maximum likelihood beta distribution (solid black lines) with 95% ...
787×1137
researchgate.net
Maximum likelihood esti…
850×317
researchgate.net
Multivariate regression analysis: Maximum likelihood estimator ...
1344×960
bookdown.org
Chapter 12 Multivariate Regression | Introduction to Inferential Statistics
850×1100
deepai.org
Robust estimation in beta regression via …
1050×582
semanticscholar.org
Figure 1 from Multivariate probit regression using simulated maximum ...
320×320
researchgate.net
Multivariate regression analysis: Maximum likeliho…
Explore more searches like
Beta
Regression
Maximum Likelihood
Multivariate
Machine Learning
Variable Types
Node-Red
Risk Factors
Pictorial Description
Water Quality Parameters
Ml Models
Vector Plot
Relevance Vector
What Is Sphere
Statistics Book
Architecture Diagram
444×174
statlect.com
Linear regression - Maximum likelihood estimation
2409×878
stats.stackexchange.com
multivariate analysis - What does it mean by "maximum likelihood ...
850×452
researchgate.net
Multivariate Regression Model: β estimates and standard error ...
320×320
researchgate.net
Multivariable linear regression model of the fiv…
850×467
researchgate.net
Multivariable analysis. Beta coefficients of the normalized ...
906×631
Stack Exchange
self study - Maximum Likelihood Estimation of Coefficients for Linear ...
640×640
researchgate.net
Univariate and Multivariate Linear Regression Analysis…
784×960
machinelearningcoban.com
Machine Learning cơ bản
437×278
statlect.com
Linear regression - Maximum likelihood estimation
1024×502
Chegg
Solved *Maximum-likelihood estimation of the | Chegg.com
320×320
researchgate.net
Standardized beta-coefficients from m…
850×665
researchgate.net
Maximum Likelihood Estimates of the Univariate …
855×574
Medium
Maximum Likelihood Estimation For Regression | by Ashan Priyadarshana ...
640×640
researchgate.net
Standardized beta-coefficients from multivari…
320×320
researchgate.net
Multivariable regression analysis (maximum likeliho…
930×620
databasecamp.de
Multivariate Analysis - easily explained! | Data Basecamp
People interested in
Beta
Regression
Maximum Likelihood
Multivariate
also searched for
Standard Error
Model Example
Analysis Example
Analysis Test
Nodule
Table For
Data For
Notes
Assignments
Formulas
Result
Statistics
437×308
statlect.com
Linear regression - Maximum likelihood estimation
636×96
statlect.com
Linear regression - Maximum likelihood estimation
10:00
YouTube > Anish Turlapaty
Maximum likelihood estimation: Beta distribution
YouTube · Anish Turlapaty · 26.9K views · Mar 18, 2017
476×270
statlect.com
Linear regression - Maximum likelihood estimation
850×514
researchgate.net
Standardized beta-coefficients from multivariate regression models for ...
640×640
researchgate.net
Standardized betas of multivariate linear regressi…
850×493
researchgate.net
Maximum likelihood estimates for the beta-binomial model, considering ...
Some results have been hidden because they may be inaccessible to you.
Show inaccessible results
Report an inappropriate content
Please select one of the options below.
Not Relevant
Offensive
Adult
Child Sexual Abuse
Feedback