اس ربط کو استعمال نہیں کر سکتے۔ چیک کریں کہ آپ کا ربط http://' یا 'https://' سے شروع ہوتا ہے تاکہ دوبارہ آزما سکیں۔
اس تلاش پر عمل کرنے سے قاصر ہے۔ براہ کرم کوئی اور تصویر یا کلیدی الفاظ آزمائیں۔
بصری تلاش کو آزمائیں
تلاش کریں، تصویر استعمال کرتے ہوئے آبجیکٹس اور متن کی شناخت کریں، ترجمہ کریں یا مسائل حل کریں
ایک یا ایک سے زائد تصاویر یہاں گھسیٹیں،
کوئی تصویر اپ لوڈ کریں
يا
کیمرہ کھولیں
جو تصاویر آپ نے فراہم کیں انہیں Bing کی تصویروں کو پراسیس کرنے والی خدمات کو بہتر بنانے کے لئے استعمال کیا جا سکا ہے۔
رازداری پالیسی
|
شرائط استعمال
اپنی تلاش شروع کرنے کے لیے تصویر کو کہیں پر بھی چھوڑیں
بصری تلاش استعمال کرنے کے لیے اس براؤزر میں کیمرے کو فعال کریں
English
تمام
تلاش کریں
تصاویر
تحریک
بنائیں
مجموعے
ویڈیوز
نقشے
خبریں
Copilot
مزید
خریداری
پروازیں
سفر
نوٹ بک
ٹاپ تجاویز Closed Loop Transfer Function PID Controller کے لئے
PID Controller
Block Diagram
PID Control Loop
Diagram
Closed Loop Controller
PID Controller
Circuit Diagram
Simple
PID Closed Loop
PID Controller
Design
PID Closed Loop
System
Diagram Blok
Closed Loop PID
De Sain Close
Loop PID
PID
Motor Control
PID Controller
Plot
Closed Loop PID Controller
Circut
PPI
PID Controller
Cascade
PID
PID Regulator
Closed Loop
PID Controller
Formula
Closed Loop PID Controller
for Motor Speed
PID Control Loop
Tuning
PID
Equation
Cascaded
PID Controller
PID
Block Diagram Simulink
PID Controller
Complete Circuit Diagram
PID Controller
Graph
Integral Gain in
PID Controller
PID Controller Closed Loop
Rootlokus
Closed Loop Controller
Systems
Closed Loop
Singl PID Control
PID Controller
Animation
Closed Loop PID
Drawing Basic
PID Close Control Loop
Principle
Vibration Controller Closed Loop
Diagram
PID Closed Loop
Series
DC Motor in
Closed Loop PID Controller
Flowchart Closed Loop
Sistem Using PID
Closed Loop PID
Auto Tuner Block
Closed Loop
Zn PID Table
Closed Loop
Position Control
Closed Loop PID
Feedback System Diagram
Cascaded
PID Loops
Closed Loop PID Controller
Continuous Cycling
Proportional Integral Derivative
Controller
Control Valve Loop
Diagram
PID Close Loop
Sytem Reactor
Closed Loop PID Control
Circuit Da Igram
Diagram of PID Controller
with Derivative Filter
Position Velocity
PID
Vehicle
PID Controller
Close Loop
Tank Yokogawa PID
PID Controller
for Open Close Contact Control System
مزید تلاشیں دریافت کریں جیسا کہ Closed Loop Transfer Function PID Controller
Standard
Form
Block
Diagram
Block Diagram
Examples
Control
System
How
Find
Feedback
System
Block Diagram
PDF
Rise
Time
Lead-Lag
Compensator
DC
Motor
Step
Response
Battery
System
Bode
Plot
Find
Negative
Feedback
Unity
Feedback
Flash Unit
Operation
Derive
قانون
ال
PI
Controller
Simplify Block
Diagram
Calculation
Solve
Formula
For
System
Determine
Letter
لوگ آپ کے اشتراک میں Closed Loop Transfer Function PID Controller ہیں وہ اسے تلاش بھی کر سکتے ہیں
System Block
Diagram
MATLAB
Level
Canonical
LCS
Disturbance
Calculation
Example
Feedback
Equation
Including
Servo System
Diagram
Second
Order
Add
Gain
Simple Way
Find
تمام GIFs کو خود چلائیں
خود چلائیں اور دیگر تصویر کی سیٹنگیں یہاں تبدیل کریں
تمام GIFs کو خود چلائیں
سوئچ کو آن کرنے کے لیے پلٹیں
خودکار چلائیں GIFs
نقش کا سائز
تمام
چھوٹا
متوسط
بڑا
اضافی بڑا
کم از کم۔۔۔*
تخصیص کردہ چوڑائی
x
تخصیص کردہ اونچائی
px
براہ کرم چوڑائی اور اونچائی کے لیے ایک نمبر داخل کریں
رنگ
تمام
فقط رنگ
سياہ و سفيد
قسم
تمام
تصویر
تراشہ
لائن ڈرائینگ
متحرک GIF
شفاف
لے آؤٹ
تمام
مربع
چوڑا
اونچا
لوگ
تمام
صرف چہرے
سر & کندھے
تاریخ
تمام
گذشتہ 24 گھنٹے
گذشتہ ہفتہ
گذشتہ مہینہ
گذشتہ سال
لائسنس
تمام
تمام Creative Commons
عوامی ڈومین
اشتراک اور استعمال کے لیے مفت
اشتراک کرنے اور تجارتی طور پر استعمال کرنے کے لیے مفت
ترمیم، حصہ داری، اور استعمال کرنے کے لیے مفت
ترمیم کرنے، حصہ داری کرنے اور تجارتی طور پر استعمال کرنے کے لئے مفت
مزید جانیے
فلٹرز صاف کریں
محفوظ تلاش:
متوسط
سخت
معتدل (طے شدہ)
آف کریں
فلٹر کریں
PID Controller
Block Diagram
PID Control Loop
Diagram
Closed Loop Controller
PID Controller
Circuit Diagram
Simple
PID Closed Loop
PID Controller
Design
PID Closed Loop
System
Diagram Blok
Closed Loop PID
De Sain Close
Loop PID
PID
Motor Control
PID Controller
Plot
Closed Loop PID Controller
Circut
PPI
PID Controller
Cascade
PID
PID Regulator
Closed Loop
PID Controller
Formula
Closed Loop PID Controller
for Motor Speed
PID Control Loop
Tuning
PID
Equation
Cascaded
PID Controller
PID
Block Diagram Simulink
PID Controller
Complete Circuit Diagram
PID Controller
Graph
Integral Gain in
PID Controller
PID Controller Closed Loop
Rootlokus
Closed Loop Controller
Systems
Closed Loop
Singl PID Control
PID Controller
Animation
Closed Loop PID
Drawing Basic
PID Close Control Loop
Principle
Vibration Controller Closed Loop
Diagram
PID Closed Loop
Series
DC Motor in
Closed Loop PID Controller
Flowchart Closed Loop
Sistem Using PID
Closed Loop PID
Auto Tuner Block
Closed Loop
Zn PID Table
Closed Loop
Position Control
Closed Loop PID
Feedback System Diagram
Cascaded
PID Loops
Closed Loop PID Controller
Continuous Cycling
Proportional Integral Derivative
Controller
Control Valve Loop
Diagram
PID Close Loop
Sytem Reactor
Closed Loop PID Control
Circuit Da Igram
Diagram of PID Controller
with Derivative Filter
Position Velocity
PID
Vehicle
PID Controller
Close Loop
Tank Yokogawa PID
PID Controller
for Open Close Contact Control System
653×498
Chegg
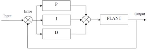
The closed loop system includes a PID controller …
1024×768
SlideServe
PPT - An Introduction to Proportional-Integral-Derivative (P…
814×301
pressbooks.library.torontomu.ca
9.1 Introduction – Introduction to Control Systems
850×383
researchgate.net
Block diagram of PID closed loop control system | Download Scientific ...
850×411
researchgate.net
4: Block Diagram of the PID controller employed in a closed-loop system ...
861×528
numerade.com
SOLVED: A process control system with PID controller is sho…
474×188
researchgate.net
Closed loop control system with PID controller. | Download Scientific ...
575×207
researchgate.net
Closed Loop PID Controller. | Download Scientific Diagram
850×636
schematicumpiromans4d.z21.web.core.windows.net
Block Diagram Transfer Function Pid Controller A Block Diagr
1024×693
numerade.com
2. A first order system with a PID controller as shown in Figure. (a ...
1024×768
slideserve.com
PPT - Open and Closed Loop in Linear Dynamic Systems PowerPoint ...
666×598
numerade.com
SOLVED: Consider the feedback system: PID Contro…
مزید تلاشیں دریافت کریں جیسا کہ
Closed Loop Transfer Function
PID Controller
Standard Form
Block Diagram
Block Diagram Examples
Control System
How Find
Feedback System
Block Diagram PDF
Rise Time
Lead-Lag Compensator
DC Motor
Step Response
Battery System
320×320
researchgate.net
Block diagram of closed loop system with PID c…
828×654
transtutors.com
(Solved) - 4 Closed-loop Position Control with PID Cont…
1355×712
chegg.com
4) Find the closed-loop transfer functions from the | Chegg.com
989×497
numerade.com
SOLVED: Write down the PID controller system in differential and ...
1024×768
SlideServe
PPT - Chapter 7 PowerPoint Presentation, free downloa…
474×354
fity.club
Closed Loop Transfer Function 5. Part II Closed Loop Pulse Transfer
1312×688
chegg.com
Solved Figure 3. Block diagram of PID servo position | Chegg.com
660×225
diagramstahh25.z21.web.core.windows.net
Pid Transfer Function Block Diagram Pid Controller : Basics,
599×196
Chegg
Solved Derive the closed-loop transfer function of the | Chegg.com
4071×1134
mdpi.com
Feedback PID Controller-Based Closed-Loop Fast Charging of Lithium-Ion ...
677×332
Stack Overflow
pid controller - Using Scilab, Get transfer function closed loop ...
1174×552
blogspot.com
PID Controller in MATLAB/Simulink using Transfer Function approach ...
2046×1823
pnadu.weebly.com
Closed loop transfer function - pnadu
482×203
ctms.engin.umich.edu
Control Tutorials for MATLAB and Simulink - Introduction: PID ...
16:02
www.youtube.com > Education 4u
Closed Loop Transfer Function | CS | Control Systems | Lec -06
YouTube · Education 4u · 7.9ہزار مرتبہ دیکھی گئی · 21 جنوری، 2022
لوگ آپ کے اشتراک میں
Closed Loop Transfer Function
PID Controller
ہیں وہ اسے تلاش بھی کر سکتے ہیں
System Block Diagram
MATLAB Level
Canonical
LCS
Disturbance
Calculation Example
Feedback
Equation Including
Servo System Diagram
Second Order
Add Gain
Simple Way Find
1024×768
SlideServe
PPT - An Introduction to Proportional-Integral-Derivative (P…
1280×720
fity.club
Closed Loop Transfer Function 5. Part II Closed Loop Pulse Transfer
1280×720
fity.club
Closed Loop Transfer Function
949×971
numerade.com
The closed-loop step response of a plant wit…
1280×720
fity.club
Closed Loop Transfer Function 5. Part II Closed Loop Pulse Transfer
598×268
chegg.com
Solved Provide P, PI and PID closed loop transfer functions | Chegg.com
638×479
SlideShare
Lecture 23 loop transfer function
550×254
electronicscoach.com
What is Closed-Loop Control System? Definition, Operation and Transfer ...
بعض نتائج کو اس لئے چھپا دیا گیا ہے کیونکہ ممکن ہے آپ کو ان تک رسائی حاصل نہ ہو۔
ناقابل رسائی نتائج دکھائیں
کسی نا مناسب مشمول کی اطلاع دیں
براہ مہربانی درج ذیل اختیارات ميں سے کوئی ايک منتخب کريں۔
متعلقہ نہیں ہے
جارحانہ
بالغ
بچوں کے ساتھ جنسی زیادتی
آراء