The photos you provided may be used to improve Bing image processing services.
Privacy Policy
|
Terms of Use
Can't use this link. Check that your link starts with 'http://' or 'https://' to try again.
Unable to process this search. Please try a different image or keywords.
Try Visual Search
Search, identify objects and text, translate, or solve problems using an image
Drag one or more images here,
upload an image
or
open camera
Drop images here to start your search
To use Visual Search, enable the camera in this browser
Gaeilge
All
Search
Images
Inspiration
Create
Collections
Videos
Maps
News
More
Shopping
Flights
Travel
Notebook
Top suggestions for Comprehension French Class 8th
Comprehension Class
4 English
Reading Comprehension
for Class 5
English Comprehension
Grade 5
English Comprehension
Fograde 5
Class
5 English Comprehension Worksheet
Short Comprehension
Grade 5
English Grade 5 Comprehension PDF
Comprehension Passage Class
5
Comprehension
Test for Grade 5
Class
5 English Grammar
Drama Comprehension
Grade 5
Comprehension Class
3
Grade 5 English
Comprehension Level Live
Comprehension
Year 5
Free Comprehension
Worksheets Grade 5
English Comprehension Class
7
Comprehension for Class
5 ICSE
Free English Comprehension
Year 5 Autobiography
Comprehension Class
2
Grade 5 English
Comprehension with Questions
Year 4 UK English
Comprehension
Grade 5 Complex
Comprehension
Simple Reading Comprehension
for Grade 5
Comprehension
Test Workbook Grade 5
French Comprehension
Worksheets Class 5
Comprehension
Passage Grade Five
Reading Comprehension
Funny Grade 5
Class 5 English Comprehension
Passage the Missing Luchbox
Unseen Comprehension Class
5
Reading Comprehension
Practice Class 5
Grade 5 English HL
Comprehension Passages
Comprehension for Class
5 Oxford
5th Grade English Comprehension Worksheets
Skoolon English Comprehension
Worksheet Grade 5
Class
5 English Grammar Revision
Grade 9 Home Language English Comprehension Passage
Hindi Comprehension
Grade 5
Passage Writing in English for Class 5
Grade 5 English Comprehension
Level Live 2045
Poem Comprehension Class
5 CBSE Pattern
Comprehension
Story for 5 Grade Answer Key
Reading Comprehension
Grade 5 Sample
Free 6th Grade Reading
Comprehension Worksheets
Free 3rd Grade Reading
Comprehension Worksheets
Class
5 Some Points About Grammer in English Comprehension
Comprehension for Class
5 with Answers
K4 Learning Grade 4 English
Comprehension
Reading Comprehesion
Grade 5
English Comprehension
Grade 5 Twinkil
English Security Comprehension
for Class 5
Explore more searches like Comprehension French Class 8th
For Class
6
Free Time
Activities
School
Kids
True
False
Small
Reading
4th Grade
Reading
My
Family
Grade
3
Worksheets
for Grade 2
For Class
5
Worksheet.pdf
Possessive Adjectives
Reading
Grade
2
For
Kids
Favourite
Subject
Written/Oral
Listening
Simple
Ecrite
Booklet
Basic
Food
Class
10
For Grade
6
For Grade
5
Answers
ICSE
Easy
Exercises
People interested in Comprehension French Class 8th also searched for
Mes Loisirs
Reading
Family
Listening
Passage
Easy
Class
9
For
Beginners
Worksheets
Class 9
Small
Passages for
Beginners
For Class
9 IGCSE
Year
Questions
Most
Hardest
Worksheets
for Class 1
Autoplay all GIFs
Change autoplay and other image settings here
Autoplay all GIFs
Flip the switch to turn them on
Autoplay GIFs
Image size
All
Small
Medium
Large
Extra large
At least... *
Customized Width
x
Customized Height
px
Please enter a number for Width and Height
Color
All
Color only
Black & white
Type
All
Photograph
Clipart
Line drawing
Animated GIF
Transparent
Layout
All
Square
Wide
Tall
People
All
Just faces
Head & shoulders
Date
All
Past 24 hours
Past week
Past month
Past year
License
All
All Creative Commons
Public domain
Free to share and use
Free to share and use commercially
Free to modify, share, and use
Free to modify, share, and use commercially
Learn more
Clear filters
SafeSearch:
Moderate
Strict
Moderate (default)
Off
Filter
Comprehension Class
4 English
Reading Comprehension
for Class 5
English Comprehension
Grade 5
English Comprehension
Fograde 5
Class
5 English Comprehension Worksheet
Short Comprehension
Grade 5
English Grade 5 Comprehension PDF
Comprehension Passage Class
5
Comprehension
Test for Grade 5
Class
5 English Grammar
Drama Comprehension
Grade 5
Comprehension Class
3
Grade 5 English
Comprehension Level Live
Comprehension
Year 5
Free Comprehension
Worksheets Grade 5
English Comprehension Class
7
Comprehension for Class
5 ICSE
Free English Comprehension
Year 5 Autobiography
Comprehension Class
2
Grade 5 English
Comprehension with Questions
Year 4 UK English
Comprehension
Grade 5 Complex
Comprehension
Simple Reading Comprehension
for Grade 5
Comprehension
Test Workbook Grade 5
French Comprehension
Worksheets Class 5
Comprehension
Passage Grade Five
Reading Comprehension
Funny Grade 5
Class 5 English Comprehension
Passage the Missing Luchbox
Unseen Comprehension Class
5
Reading Comprehension
Practice Class 5
Grade 5 English HL
Comprehension Passages
Comprehension for Class
5 Oxford
5th Grade English Comprehension Worksheets
Skoolon English Comprehension
Worksheet Grade 5
Class
5 English Grammar Revision
Grade 9 Home Language English Comprehension Passage
Hindi Comprehension
Grade 5
Passage Writing in English for Class 5
Grade 5 English Comprehension
Level Live 2045
Poem Comprehension Class
5 CBSE Pattern
Comprehension
Story for 5 Grade Answer Key
Reading Comprehension
Grade 5 Sample
Free 6th Grade Reading
Comprehension Worksheets
Free 3rd Grade Reading
Comprehension Worksheets
Class
5 Some Points About Grammer in English Comprehension
Comprehension for Class
5 with Answers
K4 Learning Grade 4 English
Comprehension
Reading Comprehesion
Grade 5
English Comprehension
Grade 5 Twinkil
English Security Comprehension
for Class 5
768×1024
scribd.com
MSBSHSE Class 8 French Textbook | PDF | Political Sci…
768×1024
scribd.com
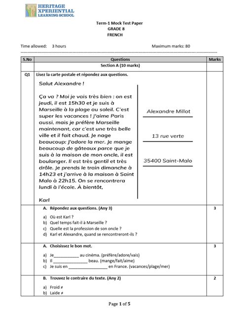
Grade 8 French Mock | PDF
1061×1500
artofit.org
French reading comprehension – Artofit
353×500
tes.com
French Reading Comprehension - Home | Te…
945×708
TES
French Reading Comprehension | Teaching R…
736×1056
in.pinterest.com
French Reading Comprehension | French clas…
794×1123
dev.quizizz.com
50+ French worksheets for 8th Class on Quizizz | Free & Prin…
Related Searches
Small
Reading
Comprehension
in
French
4th
Grade
Reading
Comprehension French
French Comprehension
On
My
Family
Grade
3
French Comprehension
768×1024
scribd.com
Class 8 French Leçon 3 | PDF
768×1024
es.scribd.com
Sheet French Grade 8 | PDF | Organismes
Related Searches
French Comprehension
for
Class
6
Free
Time
Activities
French Comprehension
Comprehension
in
French
School
Kids
Comprehension French
True
and
False
354×500
TES
School French reading comprehension | Teaching R…
Related Searches
Mes
Loisirs
Reading
Comprehension
in
French
Family
Listening
Comprehension French
French Comprehension
Passage
Easy
Comprehension
Class
9
French
1057×1496
in.pinterest.com
French Reading Comprehension | Teaching fr…
800×801
teachsimple.com
French Reading Comprehension Passage - E…
768×1024
scribd.com
CBSE Class 8 French Worksheet | PDF
720×960
madebyteachers.com
French Reading Comprehension Worksheets …
1055×1507
artofit.org
French reading comprehension – Artofit
353×500
tes.com
French reading comprehension practice | Te…
354×500
TES
French Reading Comprehension | Teaching R…
768×1024
scribd.com
WEB French Grade 8 Extended - Student's 1 | PDF
1024×1024
mmecaroline.com
Differentiated French Reading Passages for Back to Schoo…
1020×1024
mmersfrenchresources.com
French reading comprehension - Mme R's Fr…
1378×1957
artofit.org
French comprehension – Artofit
1000×1000
artofit.org
French reading comprehension activity – Art…
353×500
tes.com
French Reading Comprehension - Technolog…
768×1024
scribd.com
GRADE 8 French Booklet - TERM 2 | PDF
736×1043
in.pinterest.com
French Reading Comprehension | Basic frenc…
2048×2048
mmecaroline.com
Differentiated French Reading Passages for Back to Schoo…
736×948
in.pinterest.com
French Reading Comprehension [Part - 1] | Ba…
768×1024
scribd.com
Grade 8 - French | PDF
350×350
www.teacherspayteachers.com
French reading comprehension by My Creati…
720×960
madebyteachers.com
French Reading Comprehension Worksheets …
353×500
tes.com
French Reading Comprehension - Home | Te…
735×1029
in.pinterest.com
French Reading Comprehension | Part-1
350×350
www.teacherspayteachers.com
French Reading Comprehension Activity For …
794×1123
dev.quizizz.com
50+ French worksheets for 8th Class on Quizizz | Free & Prin…
736×1035
in.pinterest.com
French Reading Comprehension [Part-1] | Te…
Some results have been hidden because they may be inaccessible to you.
Show inaccessible results
Report an inappropriate content
Please select one of the options below.
Not Relevant
Offensive
Adult
Child Sexual Abuse
Feedback