The photos you provided may be used to improve Bing image processing services.
Privacy Policy
|
Terms of Use
Can't use this link. Check that your link starts with 'http://' or 'https://' to try again.
Unable to process this search. Please try a different image or keywords.
Try Visual Search
Search, identify objects and text, translate, or solve problems using an image
Drag one or more images here,
upload an image
or
open camera
Drop images here to start your search
To use Visual Search, enable the camera in this browser
All
Search
Images
Inspiration
Create
Collections
Videos
Maps
News
Copilot
More
Shopping
Flights
Travel
Notebook
Top suggestions for Expression in Exponential Form
Exponential Form
Formula
Expanded
Exponential Form
Exponential Form
Worksheet
Standard
Exponential Form
Exponential
Equation Form
Radical to
Exponential Form
Complex
Exponential Form
Exponential Form
Example
Numbers
in Exponential Form
Exponential Expression
Log and
Exponential Form
Equivalent
Exponential Form
Square Root
in Exponent Form
Exponential Form
Math
Writing
in Exponential Form
Logarithmic and
Exponential Form
Rewrite
in Exponential Form
Exponential
Notation Examples
Write
in Exponential Form
Express
in Exponential Form
Cube Root
in Exponent Form
Exponential Form
Logarithms
Exponential Expression in
Simplest Form
Exponential Form
Algebra
Rational
Exponent Form
Exponential Form
Grade 5
Roots
in Exponential Form
Exponential
Algebraic Expression
60
in Exponential Form
Exponential
Function Graph
Solving Exponential
Equations
Gaussian Posterior
Expression in Exponential Form
Solve an
Exponential Equation
Cube Root of X
in Exponential Form
What Is Rational
Exponent Form
Writing
Expressions in Exponential Form
Exponential
Equation Parts
512
Exponential Form
Exponential Form
of Powers
Cubic Root
in Exponent Form
Sqrt
in Exponent Form
Algebra Exponential
Formulas
Nfarad Unit I
in Exponential Form
Point-Slope Form
of the Equation of a Line
Multiplying Exponents
Worksheet
Rewriting Ln
in Exponential Form
Negative Fraction
Exponents
Zero and Negative
Exponents
Write J
in Exponential Form
Exponential Form
2 to 10
Explore more searches like Expression in Exponential Form
Complex
Numbers
Sin
Cos
What Is
Standard
Multiplication
Numbers
Logarithmic
Equation
People interested in Expression in Exponential Form also searched for
Grade
8
Unit
Circle
Sine
Cosine
Function
Graph
Ln
1
Complex
Conjugate
Writing Numbers
In
Sinc
Function
Simple
$65
9
Base
¹
12X12x12
1000$
£20
$75
4
Squared
125$
How
Draw
$10000
$300
10$
Autoplay all GIFs
Change autoplay and other image settings here
Autoplay all GIFs
Flip the switch to turn them on
Autoplay GIFs
Image size
All
Small
Medium
Large
Extra large
At least... *
Customized Width
x
Customized Height
px
Please enter a number for Width and Height
Color
All
Color only
Black & white
Type
All
Photograph
Clipart
Line drawing
Animated GIF
Transparent
Layout
All
Square
Wide
Tall
People
All
Just faces
Head & shoulders
Date
All
Past 24 hours
Past week
Past month
Past year
License
All
All Creative Commons
Public domain
Free to share and use
Free to share and use commercially
Free to modify, share, and use
Free to modify, share, and use commercially
Learn more
Clear filters
SafeSearch:
Moderate
Strict
Moderate (default)
Off
Filter
Exponential Form
Formula
Expanded
Exponential Form
Exponential Form
Worksheet
Standard
Exponential Form
Exponential
Equation Form
Radical to
Exponential Form
Complex
Exponential Form
Exponential Form
Example
Numbers
in Exponential Form
Exponential Expression
Log and
Exponential Form
Equivalent
Exponential Form
Square Root
in Exponent Form
Exponential Form
Math
Writing
in Exponential Form
Logarithmic and
Exponential Form
Rewrite
in Exponential Form
Exponential
Notation Examples
Write
in Exponential Form
Express
in Exponential Form
Cube Root
in Exponent Form
Exponential Form
Logarithms
Exponential Expression in
Simplest Form
Exponential Form
Algebra
Rational
Exponent Form
Exponential Form
Grade 5
Roots
in Exponential Form
Exponential
Algebraic Expression
60
in Exponential Form
Exponential
Function Graph
Solving Exponential
Equations
Gaussian Posterior
Expression in Exponential Form
Solve an
Exponential Equation
Cube Root of X
in Exponential Form
What Is Rational
Exponent Form
Writing
Expressions in Exponential Form
Exponential
Equation Parts
512
Exponential Form
Exponential Form
of Powers
Cubic Root
in Exponent Form
Sqrt
in Exponent Form
Algebra Exponential
Formulas
Nfarad Unit I
in Exponential Form
Point-Slope Form
of the Equation of a Line
Multiplying Exponents
Worksheet
Rewriting Ln
in Exponential Form
Negative Fraction
Exponents
Zero and Negative
Exponents
Write J
in Exponential Form
Exponential Form
2 to 10
1024×768
slideserve.com
PPT - Properties of Exponents PowerPoint Presentation, free download ...
1280×720
YouTube
How to Write Expressions in Exponential Form (the Product Rule): with ...
600×670
A Maths Dictionary for Kids
exponential form ~ A Maths Dictionary fo…
1024×576
study.com
How to Write an Expression Using Exponents | Algebra | Study.com
Related Products
Exponential Form Calculator
Exponential Form to Logarithmic F…
Scientific Notation To
688×526
cuemath.com
Exponential Function - Formula, Asymptotes, Domain, Range
632×335
cuemath.com
Exponential Form - Meaning, Conversion, Formula, Examples
691×420
Weebly
EXPONENTIAL EXPRESSIONS - ALGEBRA TUTOR
1250×614
YouTube
Rewriting Expressions in Exponential Form - YouTube
1024×768
slideserve.com
PPT - Understanding Exponents: Representing Numbers PowerPoi…
960×720
slideplayer.com
Properties of Exponents - ppt video online download
9:15
YouTube > AlRichards314
Equivalent Forms of Exponential Equations
YouTube · AlRichards314 · 20.2K views · May 12, 2009
Explore more searches like
Expression
in Exponential Form
Complex Numbers
Sin Cos
What Is Standard
Multiplication Numbers
Logarithmic Equation
724×460
chegg.com
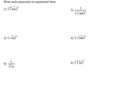
Solved Write each expression in exponential form. 1) (10x) 1 | Chegg.com
1024×580
thirdspacelearning.com
Exponential Notation- Math Steps, Examples & Questions
750×750
teachoo.com
Example 4 - Simplify and write in exponential form (i) (2^5 ÷ 2^8)^5
869×1351
Bartleby.com
Answered: 1. Write each expr…
1024×576
study.com
Finding Equivalent Forms of Exponential Expressions | Algebra | Study.com
550×548
chegg.com
Solved 11 Express the expression in expone…
16:36
YouTube > The Organic Chemistry Tutor
Solving Exponential Equations
YouTube · The Organic Chemistry Tutor · 2.5M views · Feb 1, 2018
1280×720
www.youtube.com
Simplify an Exponential Expression Using the Power Rules and Negative ...
1100×1114
cuemath.com
Exponents Formula - What is Exponen…
537×394
aplustopper.com
Exponential Expressions - A Plus Topper
2:57
YouTube > Mathispower4u
Ex: Expanding and Evaluating Exponential Notation
YouTube · Mathispower4u · 30.8K views · Oct 1, 2011
577×601
Online Math Learning
Exponents, Exponential Nota…
1024×579
mathsathome.com
How to Solve an Exponential Equation – mathsathome.com
1398×791
mathsathome.com
How to Solve an Exponential Equation – mathsathome.com
1920×1080
nagwa.com
Question Video: Writing an Exponential Equation from a Table of Values ...
1280×720
studylibraryhogtied.z14.web.core.windows.net
How To Solve Exponential And Log Equations
People interested in
Expression in
Exponential Form
also searched for
Grade 8
Unit Circle
Sine Cosine
Function Graph
Ln 1
Complex Conjugate
Writing Numbers In
Sinc Function
Simple
$65
9
Base
1000×470
request.geeksforgeeks.org
Exponential Functions: Definition, Formula and Examples | GeeksforGeeks
1057×600
thirdspacelearning.com
Exponents - Math Steps, Examples & Questions
1920×1080
nagwa.com
Question Video: Simplifying Algebraic Expressions Using Laws of ...
632×365
cuemath.com
Exponential Form - Meaning, Conversion, Formula, Examples
1:02
YouTube > Mathispower4u
Example: Write Repeated Multiplication in Exponential Form
YouTube · Mathispower4u · 77.9K views · May 18, 2011
1024×576
fity.club
Exponential Form Converter
4:24
study.com
Exponential Form | Definition & Examples
4:24
study.com
Exponential Form | Definition & Examples
Some results have been hidden because they may be inaccessible to you.
Show inaccessible results
Report an inappropriate content
Please select one of the options below.
Not Relevant
Offensive
Adult
Child Sexual Abuse
Feedback