The photos you provided may be used to improve Bing image processing services.
Privacy Policy
|
Terms of Use
Can't use this link. Check that your link starts with 'http://' or 'https://' to try again.
Unable to process this search. Please try a different image or keywords.
Try Visual Search
Search, identify objects and text, translate, or solve problems using an image
Drag one or more images here,
upload an image
or
open camera
Drop images here to start your search
To use Visual Search, enable the camera in this browser
All
Search
Images
Inspiration
Create
Collections
Videos
Maps
News
More
Shopping
Flights
Travel
Notebook
Top suggestions for Problems On Distributive Property Class 8 Rational Numbers
Distributive Property Problems
Under Rational Numbers
Distributive Property
for Rational Numbers
Rational Numbers Distributive Property
Worksheet
Problems On Distributive Property Class 8
Sum for Rational Numbers
Unser the Distributive Property for 8th Class
Distributive Property Examples with
Rational Numbers Class 8 Worksheet
Distributive Property of Multiplication Rational Numbers
Questions for Class 8
Distributive Law Multiplication Sums
Rational Numbers Class 8
Distributive Property
with Negative Numbers
Distributive Property
Whole Numbers
Distributive Property of Rational Numbers
Questions and Answers
Distributive Property
Example Multiplication Over Subtraction Rational Numbers
Distributive Property of Rational
Expressions Math Problem
Class 8 Maths Rational Numbers
Worksheet
Distributive
Propert of Multiplication of Rational Numbers
Rational Numbers Class 8
Extra Questions
Associative
Property Rational Numbers
Distributive Property
Question with 1 Negative Number
Distributive Property
of Addition in Rational Numbers
Period Plans of
Rational Numbers of 8th Class
Distributive Property Formula Rational Numbers
Definition
Class 8 Rational Numbers
Simplify the Following Examples
Examples of Distributive Property
of Rational Numbers Under Division
Rational Numbers Distributive Property
Worksheets Class 8 NCERT
Rational
Addiction Question Class 8
Rational Number Class 8 Property
Based Question
Rational Number Properties Class 8
Distributive Property with the Numbers
and 3 and 122
Class 8 Rational
No Associative Property Questions
10 Examples of Associative
Property for Rational Number
CBSE Class 8
Maths Rational Numbers
Project of Rational Number
in Associative Property Under Addition
Rational Numbers Class 8
Solutions
Solve Using
Distributive Property of Rational Numbers
Richard Courant Density
Property of Rational Numbers
Class 8 CBSE Rational Numbers Problems
Find Using Properties
CBSE Class 8 Rational Numbers
Worksheet Sole with Properties
Distributive Property with a Number On
the Right
Multiplying Decimal Numbers
Using the Distributive Property
Formula Sheet for
Rational Numberl Class 8
Extra Question of
Rational Numbers for Class 8
Case Study Question From
Rational Numbers Grade 8
Hard Rational Problems
for Class 8
Word Problems of Properties
of Rational Numbers Grade 8
Solve Using Property Class 8 Rational Number
with Solution
Closure
Property Class 8
ICSE Class 8 Rational Numbers Number
Line Questions and Answers PDF
Distribution Property
Solutions Class 6
Rational Numbers Class 8
Chapter 1 Latest Book
Identifying Integers Rational
and Real Numbers Worksheet
Autoplay all GIFs
Change autoplay and other image settings here
Autoplay all GIFs
Flip the switch to turn them on
Autoplay GIFs
Image size
All
Small
Medium
Large
Extra large
At least... *
Customized Width
x
Customized Height
px
Please enter a number for Width and Height
Color
All
Color only
Black & white
Type
All
Photograph
Clipart
Line drawing
Animated GIF
Transparent
Layout
All
Square
Wide
Tall
People
All
Just faces
Head & shoulders
Date
All
Past 24 hours
Past week
Past month
Past year
License
All
All Creative Commons
Public domain
Free to share and use
Free to share and use commercially
Free to modify, share, and use
Free to modify, share, and use commercially
Learn more
Clear filters
SafeSearch:
Moderate
Strict
Moderate (default)
Off
Filter
Distributive Property Problems
Under Rational Numbers
Distributive Property
for Rational Numbers
Rational Numbers Distributive Property
Worksheet
Problems On Distributive Property Class 8
Sum for Rational Numbers
Unser the Distributive Property for 8th Class
Distributive Property Examples with
Rational Numbers Class 8 Worksheet
Distributive Property of Multiplication Rational Numbers
Questions for Class 8
Distributive Law Multiplication Sums
Rational Numbers Class 8
Distributive Property
with Negative Numbers
Distributive Property
Whole Numbers
Distributive Property of Rational Numbers
Questions and Answers
Distributive Property
Example Multiplication Over Subtraction Rational Numbers
Distributive Property of Rational
Expressions Math Problem
Class 8 Maths Rational Numbers
Worksheet
Distributive
Propert of Multiplication of Rational Numbers
Rational Numbers Class 8
Extra Questions
Associative
Property Rational Numbers
Distributive Property
Question with 1 Negative Number
Distributive Property
of Addition in Rational Numbers
Period Plans of
Rational Numbers of 8th Class
Distributive Property Formula Rational Numbers
Definition
Class 8 Rational Numbers
Simplify the Following Examples
Examples of Distributive Property
of Rational Numbers Under Division
Rational Numbers Distributive Property
Worksheets Class 8 NCERT
Rational
Addiction Question Class 8
Rational Number Class 8 Property
Based Question
Rational Number Properties Class 8
Distributive Property with the Numbers
and 3 and 122
Class 8 Rational
No Associative Property Questions
10 Examples of Associative
Property for Rational Number
CBSE Class 8
Maths Rational Numbers
Project of Rational Number
in Associative Property Under Addition
Rational Numbers Class 8
Solutions
Solve Using
Distributive Property of Rational Numbers
Richard Courant Density
Property of Rational Numbers
Class 8 CBSE Rational Numbers Problems
Find Using Properties
CBSE Class 8 Rational Numbers
Worksheet Sole with Properties
Distributive Property with a Number On
the Right
Multiplying Decimal Numbers
Using the Distributive Property
Formula Sheet for
Rational Numberl Class 8
Extra Question of
Rational Numbers for Class 8
Case Study Question From
Rational Numbers Grade 8
Hard Rational Problems
for Class 8
Word Problems of Properties
of Rational Numbers Grade 8
Solve Using Property Class 8 Rational Number
with Solution
Closure
Property Class 8
ICSE Class 8 Rational Numbers Number
Line Questions and Answers PDF
Distribution Property
Solutions Class 6
Rational Numbers Class 8
Chapter 1 Latest Book
Identifying Integers Rational
and Real Numbers Worksheet
852×800
teachsimple.com
Distributive Property with Rational Numbers NOTES & …
241×300
apboardsolutions.com
Rational Numbers Class 8 Extra Questions with Answer…
1700×2200
storage.googleapis.com
Class 8 Maths Rational Numbers Question Paper at …
742×1050
worksheets.clipart-library.com
Free distributive property worksheet 8th grade, Downlo…
794×1123
wayground.com
50+ Distributive Property of Multiplication worksheets fo…
960×540
mathswallahpadhai.com
NCERT Solutions Class 8 Maths Chapter 1 Rational Nu…
296×536
www.pinterest.com
Selina Concise Mathematics Class 8 ICSE Solutions Chapt…
264×350
www.teacherspayteachers.com
Distributive Property with Rational Numbers NOTES & …
300×106
learncbse.in
NCERT Exemplar Class 8 Maths Chapter 1 Rational Nu…
343×358
apboardsolutions.com
Rational Numbers Class 8 Extra Questions with Answer…
1700×2200
byjus.com
RD Sharma Solutions for Class 8 Chapter 1 - Rational Numb…
1000×1413
worksheets.clipart-library.com
Rational numbers online worksheet for 8 - Worksheet…
794×1123
wayground.com
50+ Distributive Property of Multiplication worksheets fo…
742×1050
worksheets.clipart-library.com
Distributive Property of Multiplication Worksheets - …
263×350
www.teacherspayteachers.com
Distributive Property with Rational Numbers NOTES & …
500×250
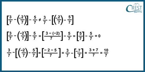
crestolympiads.com
Rational Numbers Class 8 Notes | Maths Olympiad
119×51
classrankers.com
NCERT Solutions for Chapter 1 Rational Numbers Class 8 M…
339×544
infinitylearn.com
Rational Numbers Class 8 Maths Extra Questions and A…
794×1123
wayground.com
50+ Distributive Property of Multiplication worksheets fo…
1241×1755
worksheets.clipart-library.com
Free rational numbers worksheet grade 8, Downloa…
742×1050
worksheets.clipart-library.com
Distributive Property Worksheets with Answer Ke…
735×1308
in.pinterest.com
Pin on Class 8 Rational Numbers
500×250
crestolympiads.com
Rational Numbers Class 8 Notes | Maths Olympiad
1075×1521
worksheetshq.com
Rational Numbers Worksheet Class 8 Cbse
473×621
www.pinterest.com
Explore Rational Numbers Solutions for Class 8
794×1123
wayground.com
50+ Distributive Property of Multiplication worksheets fo…
1811×2560
worksheets.clipart-library.com
Distributive Property Worksheet | Fun and Engagin…
794×1123
wayground.com
50+ Distributive Property of Multiplication worksheets fo…
735×1308
www.pinterest.com
Pin on Class 8 Rational Numbers
500×150
crestolympiads.com
Rational Numbers Class 8 Notes | Maths Olympiad
111×52
classrankers.com
NCERT Solutions for Chapter 1 Rational Numbers Class 8 M…
793×1123
worksheets.clipart-library.com
The Distributive Property worksheets - Worksheets Lib…
742×1050
worksheets.clipart-library.com
Distributive Property of Multiplication (solutions, exa…
794×1123
wayground.com
50+ Distributive Property of Multiplication worksheets fo…
742×1050
worksheets.clipart-library.com
Distributive Property Worksheets with Answer Ke…
Some results have been hidden because they may be inaccessible to you.
Show inaccessible results
Top suggestions for
Problems On Distributive Property Class 8 Rational Numbers
Distributive Property Probl
…
Distributive Property for R
…
Rational Numbers Distr
…
Problems On Distributive Pr
…
Sum for Rational Numb
…
Distributive Property Exam
…
Distributive Property of Mu
…
Distributive Law Multiplication
…
Distributive Property with
…
Distributive Property Whol
…
Distributive Property of Ra
…
Distributive Property Exam
…
Report an inappropriate content
Please select one of the options below.
Not Relevant
Offensive
Adult
Child Sexual Abuse
Feedback