The photos you provided may be used to improve Bing image processing services.
Privacy Policy
|
Terms of Use
Can't use this link. Check that your link starts with 'http://' or 'https://' to try again.
Unable to process this search. Please try a different image or keywords.
Try Visual Search
Search, identify objects and text, translate, or solve problems using an image
Drag one or more images here,
upload an image
or
open camera
Drop images here to start your search
To use Visual Search, enable the camera in this browser
All
Search
Images
Inspiration
Create
Collections
Videos
Maps
News
More
Shopping
Flights
Travel
Notebook
Top suggestions for Standard Observation Formula
Continuous
Observation Formula
Observation
Meaning
Define
Observation
Solar Observation
Surveying Formula
Number of Observation Formula
with Data Collection
CEC
Formula
Influential
Observation
Henry Carey First
Observation Formula
Observation
คือ
Mean of Observation Formula
for Physics Practicals
Observation
Bias
How to Find Observation
by Using Average Formula
Number of
Observations Formula
Participant Observation
and Non Participant
Unstructured
Observation
Number of Pairs of
Observation Formula in Statistics
Observation
Definition
Observation
Means
Purpose of
Observation
Observation
Definition Science
Explore more searches like Standard Observation Formula
Binoculars
Icon
Tower
Design
Activity
Clip Art
Magnifying
Glass
Word Clip
Art
Group Activity
Clip Art
Book
Cover
Inference
Examples
Montessori
Classroom
Diagram
Types
Research
Graphic
Research
Clip Art
Chart
Template
Checklist
Template
Cover
Page
Children Playing
Outside
Form
Template
Cartoon
Png
Game
Wallpaper
Clip
Art
High
Resolution
Experiment
Cartoon
Cartoon
Images
Two
Types
High School
Class
Unit
Example
Haki Blox
Fruits
Method
Clip Art
High School
Classroom
Word
Art
Journal
Template
Guide
Template
Notes
Template
PS5
PNG
Outside
Cartoon
Research
Example
Science
Animated
Worksheet
Template
Learning
Activity
Logo
Log
Template
Point
Animation
Sheet for
Students
Sign
Earth
Game
Naturalistic
Binoculars
People interested in Standard Observation Formula also searched for
Main
Menu
Man
Movie
Game
PNG
Process Ppt
Background
Preschool
Class
Cover
Art
Deck
PNG
Icon
Haki
Tower
Experiment
Machine
Animated
Autoplay all GIFs
Change autoplay and other image settings here
Autoplay all GIFs
Flip the switch to turn them on
Autoplay GIFs
Image size
All
Small
Medium
Large
Extra large
At least... *
Customized Width
x
Customized Height
px
Please enter a number for Width and Height
Color
All
Color only
Black & white
Type
All
Photograph
Clipart
Line drawing
Animated GIF
Transparent
Layout
All
Square
Wide
Tall
People
All
Just faces
Head & shoulders
Date
All
Past 24 hours
Past week
Past month
Past year
License
All
All Creative Commons
Public domain
Free to share and use
Free to share and use commercially
Free to modify, share, and use
Free to modify, share, and use commercially
Learn more
Clear filters
SafeSearch:
Moderate
Strict
Moderate (default)
Off
Filter
Continuous
Observation Formula
Observation
Meaning
Define
Observation
Solar Observation
Surveying Formula
Number of Observation Formula
with Data Collection
CEC
Formula
Influential
Observation
Henry Carey First
Observation Formula
Observation
คือ
Mean of Observation Formula
for Physics Practicals
Observation
Bias
How to Find Observation
by Using Average Formula
Number of
Observations Formula
Participant Observation
and Non Participant
Unstructured
Observation
Number of Pairs of
Observation Formula in Statistics
Observation
Definition
Observation
Means
Purpose of
Observation
Observation
Definition Science
1200×628
byjus.com
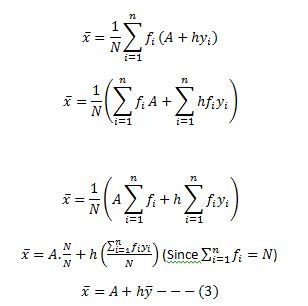
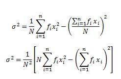
Standard Deviation Formula For Population and Sample
750×278
byjus.com
Standard Deviation Formula For Population and Sample
341×79
byjus.com
Standard Deviation Formula For Sample and Population, Derivation ...
247×162
byjus.com
Standard Deviation Formula For Sample and Population…
Related Products
Standard Formula Milk
Standard Formula for Infants
Baby Standard Formulas
369×261
www.basic-mathematics.com
Standard Deviation Formula
720×370
gnssblog.weebly.com
Observation equation
600×424
academia.edu
(PDF) Estimation of the observation standard deviation error formula ...
308×306
fity.club
Sample Standard Deviation Formula
2000×1414
fity.club
Sample Standard Deviation Formula
1500×1000
ignorantmediations.blogspot.com
standard deviation formula - Ignorant Mediations
Explore more searches like
Standard
Observation
Formula
Binoculars Icon
Tower Design
Activity Clip Art
Magnifying Glass
Word Clip Art
Group Activity Clip Art
Book Cover
Inference Examples
Montessori Classroom
Diagram Types
Research Graphic
Research Clip Art
850×128
researchgate.net
Standard Values of Observation Dataset Variables. | Download Table
634×257
fity.club
Standard Deviation Formula
778×382
geeksforgeeks.org
Standard Deviation – Formula, Examples & How to Calculate | GeeksforGeeks
1065×798
riset.guru
Standard Deviation Formula For Population And Sample - Riset
1600×940
storage.googleapis.com
Standard Deviation Formula Laboratory at James Jain blog
1600×1156
dreamstime.com
Standard Deviation - Formula for Calculation Stock Illustration ...
535×335
getcalc.com
Basic Statistics & Probability Formulas - PDF Download
1990×2808
fity.club
Qualitative Observation Table
576×672
vectormine.com
Standard deviation formula for statisti…
850×1076
researchgate.net
The average value and standard de…
750×301
queleparece.com
Variance and Standard Deviation-Definition, Formula, Relation and ...
850×558
researchgate.net
Example of an observation equation. | Download Scientific Diagram
640×640
researchgate.net
Example of an observation equation…
690×365
standarddeviationcalculator.io
Standard Deviation Calculator - Sample/Population
1297×500
storage.googleapis.com
What Is The Standard Deviation Formula For A Sample Vs. Population at ...
720×540
storage.googleapis.com
What Is The Standard Deviation Formula For A Sample Vs. Po…
People interested in
Standard
Observation
Formula
also searched for
Main Menu
Man Movie
Game PNG
Process Ppt Background
Preschool Class
Cover Art
Deck
PNG
Icon
Haki
Tower
Experiment
323×96
gradecalculator.tech
Standard Deviation Calculator
394×136
atozee.co.uk
Standard Deviation Definition
1920×1080
ar.inspiredpencil.com
Statistics Formula Sheet Standard Deviation
513×617
ar.inspiredpencil.com
Statistics Formula Sheet Standard De…
1400×649
ar.inspiredpencil.com
Statistics Formula Sheet Standard Deviation
1800×900
storyofmathematics.com
Standard Deviation | Definition & Meaning
831×485
cuemath.com
Standard Deviation - Formula | How to Calculate Standard Deviation?
1498×2321
quantsense.io
Standard deviation vs sta…
725×1024
studylib.net
Standard Deviation
Some results have been hidden because they may be inaccessible to you.
Show inaccessible results
Report an inappropriate content
Please select one of the options below.
Not Relevant
Offensive
Adult
Child Sexual Abuse
Feedback