Die von Ihnen bereitgestellten Fotos können verwendet werden, um die Bildverarbeitungsdienste von Bing zu verbessern.
Datenschutzrichtlinie
|
Nutzungsbedingungen
Dieser Link kann nicht verwendet werden. Überprüfen Sie, ob Ihr Link mit „http://“ oder „https://“ beginnt, um es erneut zu versuchen.
Diese Suche kann nicht verarbeitet werden. Versuchen Sie es mit einem anderen Bild oder anderen Schlüsselwörtern.
Visuelle Suche testen
Suchen, Objekte und Text identifizieren, übersetzen oder Probleme mithilfe eines Bildes lösen
Ein oder mehrere Bilder hierher ziehen,
Hochladen eines Bilds
oder
Kamera öffnen
Bilder hier ablegen, um die Suche zu starten
Zur Verwendung der thematischen Suche muss die Kamera in diesem Browser aktiviert werden
English
Alle
Suchen
Bilder
Inspiration
Erstellen
Sammlungen
Videos
Karten
Neuigkeiten
Copilot
mehr
Shopping
Flüge
Reisen
Notizbuch
Top-Vorschläge für Tan Alpha Bete
Tan Alpha
Sin
Alpha Beta
Cos
Alpha Beta
Tan Alpha
Plus Beta
Cos 2
Alpha
Tan Alpha
Time Tan Beta
Tan Alpha Beta
Gamma
Alpha 1 Beta
1
Tan
Theta
Sin Alpha Beta
Formula
Tan Alpha
Tambah Beta
Alpha Beta
Identity
Beta
Angle Triangle
Tan Alpha
+ Tan Beta
Symbol
Tan Alpha
Tan Máu Alpha Beta
Gamma
Tan
DX
Tan
Alfa È Beta
20 the
Alpha Beta
Alpha Beta
QP
Sin Cos
Tan Calculus
What Is
Tan Alpha
Condition of
Tan Alpha
Tan 3 Alpha
Formula
Tan of Alpha
Plus Beta Equation Formula
Diagram Proving Lens Law than
Alpha Tan Beta and Tan Gamma
Công Thức
Tan Alpha
Tan
Alphaa
Tan
Alpa Dan Tan Beta
Beta
Cot
Tan
Theta Minus Alpha
Tan Beta
Physics
Rumus
Tan
Alpha 4 Beta
7
Finding Alpha Beta
Vectors
H
Tan Alpha
Alpha and Beta
Tantalum
Tan Alpha
Vector Formula
Tan Alpha
in Parallelogram Law
Addition Formula
Trigonometry
Tanente Alfa Piu
Beta
Trigonometric Addition
Formula
Tan-
1 a B
Sin Cos
Identities
2Cos Alpha Cos Beta
Cos Gamma
Tan Alpha
Equal Velocity
Alpha
Kuadrat Tambah Beta Kuadrat
Alpha
and BTA Quadrants
Alpha Beta
Formula Algebraic Identities
Tan Alpha
Formula Projectile Motion
Optimieren Sie Ihre Suche nach „Tan Alpha Bete“
Sin
Cos
Tan Alpha Beta
Formula
Symbols
Gamma
Vector
Mehr Suchvorgänge finden wie „Tan Alpha Bete“
Gamma
Bild
Diversity
Bacteria
Omega
Zeichen
Gamma Zeichen
Mathe
Gamma
Formel
Gammastrahlung
Gamma
Schreiben
Delta
Sans
Gamma
Radiation
Gamma
Atom
Omega
Symbol
Griechisches
Alphabet
Und
Gammastrahlung
Gamma Delta
Zeichen
Gamer
Gamma Delta
Tabelle
Bonds
Gamma
Sigma
Anime
Mathe
Sigma
Omega
Winkelnamen
Aminosäuren
Charlie Delta
Alphabet
Rezeptoren
Tabelle
Personen, die an Tan Alpha Bete interessiert sind, haben auch nach Folgendem gesucht
Gamma
Icon
Glucose
Pruning
Proteine
Gamma Im
Dreieck
Pi
vs
Gamma
Fräser
Carbon
Gamma
PNG Rot
Alphabet
Icons
Pruning
Example
Alle GIFs automatisch wiedergeben
Automatische Wiedergabe und andere Bildeinstellungen hier ändern
Alle GIFs automatisch wiedergeben
Betätigen Sie den Schalter, um sie einzuschalten
GIFs automatisch wiedergeben
Bildgröße
Alle
Klein
Mittel
Groß
Extra groß
Mindestens... *
Angepasste Breite
x
Angepasste Höhe
px
Geben Sie eine Zahl für Breite und Höhe ein.
Farbe
Alle
Nur Farbe
Schwarzweiß
Typ
Alle
Foto
Clipart
Strichzeichnung
Animierte GIF
Transparent
Layout
Alle
Quadrat
Weit
Hoch
Personen
Alle
Nur Gesichter
Kopf & Schultern
Datum
Alle
Letzte 24 Stunden
Letzte Woche
Letzter Monat
Letztes Jahr
Lizenz
Alle
Alle Creative Commons
gemeinfrei
Kann kostenlos freigegeben und verwendet werden
Kann kostenlos freigegeben und kommerziell verwendet werden
Kann kostenlos geändert, freigegeben und verwendet werden
Kann kostenlos geändert, freigegeben und kommerziell verwendet werden
Weitere Informationen
Filter löschen
SafeSearch:
Mittel
Streng
Mittel (Standard)
Aus
Filter
Tan Alpha
Sin
Alpha Beta
Cos
Alpha Beta
Tan Alpha
Plus Beta
Cos 2
Alpha
Tan Alpha
Time Tan Beta
Tan Alpha Beta
Gamma
Alpha 1 Beta
1
Tan
Theta
Sin Alpha Beta
Formula
Tan Alpha
Tambah Beta
Alpha Beta
Identity
Beta
Angle Triangle
Tan Alpha
+ Tan Beta
Symbol
Tan Alpha
Tan Máu Alpha Beta
Gamma
Tan
DX
Tan
Alfa È Beta
20 the
Alpha Beta
Alpha Beta
QP
Sin Cos
Tan Calculus
What Is
Tan Alpha
Condition of
Tan Alpha
Tan 3 Alpha
Formula
Tan of Alpha
Plus Beta Equation Formula
Diagram Proving Lens Law than
Alpha Tan Beta and Tan Gamma
Công Thức
Tan Alpha
Tan
Alphaa
Tan
Alpa Dan Tan Beta
Beta
Cot
Tan
Theta Minus Alpha
Tan Beta
Physics
Rumus
Tan
Alpha 4 Beta
7
Finding Alpha Beta
Vectors
H
Tan Alpha
Alpha and Beta
Tantalum
Tan Alpha
Vector Formula
Tan Alpha
in Parallelogram Law
Addition Formula
Trigonometry
Tanente Alfa Piu
Beta
Trigonometric Addition
Formula
Tan-
1 a B
Sin Cos
Identities
2Cos Alpha Cos Beta
Cos Gamma
Tan Alpha
Equal Velocity
Alpha
Kuadrat Tambah Beta Kuadrat
Alpha
and BTA Quadrants
Alpha Beta
Formula Algebraic Identities
Tan Alpha
Formula Projectile Motion
Einschließlich Ergebnisse für
tan alpha beta
.
Nur Ergebnisse für
Tan Alpha Bete
anzeigen?
600×900
dreamstime.com
Addition Formulas for th…
1024×696
numerade.com
⏩SOLVED:Derive the identity for tan(α-β) using tan(α-β)=tan…
223×42
kingmathematic.blogspot.com
TRIGONOMETRI - Cara Mudah Belajar Matemati…
405×720
www.youtube.com
formula of Tan ( alpha + beta ) …
2533×1923
Stack Exchange
trigonometry - If $\theta=\alpha+\beta$ su…
1423×1066
trigonometri-logaritma.blogspot.com
Trigonometric Function Exact Value Calculator
1280×720
www.youtube.com
Finding tanα if tan(α+β)=7 and tan(α-β)=5 - YouTube
59×15
MathWorld
Trigonometric Addition Form…
338×407
extremelearning.com.au
Trigonometry in Pictures | Extrem…
881×838
brainly.in
if an angle theta is divided into two parts al…
1280×720
www.youtube.com
Find tan(alpha)*tan(beta) | Olympiad Math - YouTube
1280×720
www.youtube.com
if tan(alpha+beta)=(1)/(2) and tanalpha=(1)/(3), then tanbeta ...
474×322
numerade.com
SOLVED:Derive the identity for tan(α+β) using tan(α+β)=(sin(α+β)…
GIF
480×228
numerade.com
SOLVED:If tanαtanβ=1 and αand βare acute angles, show that sec α=cscβ ...
317×198
homework.study.com
Find (a) \sin (\alpha ) and \cos (\beta ) (b) \tan (\alph…
Optimieren Sie Ihre Suche nach „
Tan Alpha Bete
“
Sin Cos
Tan Alpha Beta Formula
Symbols
Gamma
Vector
714×323
gauthmath.com
Solved: tan ( 1/12 π )= Sum and Difference Formulas cos (alpha +beta ...
700×643
chegg.com
Solved use the information given bel…
1024×641
storyofmathematics.com
Use the diagram in Figure 5-1 to determine the tangent function from ...
1024×218
numerade.com
SOLVED: Please prove, using the Sine and Cosine Sum formulas that: tan ...
2046×1323
chegg.com
Solved For tan alpha = 1/3 and sin beta = 1/squareroot 5 0 | Chegg.com
1024×528
numerade.com
SOLVED:If αand βare the solutions of the equation a tanθ+b secθ=c, then ...
854×1024
Chegg
Solved Find sin(alpha) and cos…
1744×1025
math.stackexchange.com
trigonometry - If $\alpha$ and $\beta$ are roots of a trigonometric ...
2043×2049
math.stackexchange.com
trigonometry - If $\alpha$ and $\beta$ …
1024×576
numerade.com
SOLVED:If tan β=(n sinαcosα)/(1-n sin^2 α). Prove that tan(α-β)= (l-m ...
GIF
480×270
numerade.com
SOLVED:If tan β=(n sinαcosα)/(1-n sin^2 α). Prove that tan(α-β)= (l-m ...
1024×763
storage.googleapis.com
Cot Alpha + Beta Formula at Seth Reynolds blog
1280×854
inchcalculator.com
Tangent Calculator - Calculate tan(x) - Inch Calculator
1280×768
pw.live
Tan Theta Formula, Definition , Solved Examples
654×477
byjus.com
List of Trigonometric Identities (PDF, Formulas, Derivation, Exa…
700×222
chegg.com
Solved Use the information given below to find tan(α−β). | Chegg.com
Mehr Suchvorgänge finden wie „
Tan
Alpha beta
“
Gamma Bild
Diversity Bacteria
Omega Zeichen
Gamma Zeichen Mathe
Gamma Formel
Gammastrahlu
…
Gamma Schreiben
Delta Sans
Gamma Radiation
Gamma Atom
Omega Symbol
Griechisches Alphabet
2:44
www.youtube.com > Baap of Mathematics
Proof of formula of Tan(A+B) and Tan(A-B)
YouTube · Baap of Mathematics · 22,4Tsd. Aufrufe · 7. Mai 2020
834×139
gauthmath.com
Solved: Given tan alpha =- 4/3 , α in Quadrant II, and tan beta = 15/8 ...
851×212
chegg.com
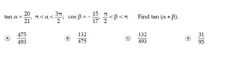
Solved Tan alpha = 20/21, pi
3550×1776
en.serlo.org
Sine, Cosine and Tangent
Einige Ergebnisse wurden ausgeblendet, weil sie für Sie möglicherweise nicht zugänglich sind.
Unerreichbare Ergebnisse anzeigen
Unpassenden Inhalt melden
Wählen Sie eine der folgenden Optionen aus.
Nicht relevant
Anstößig
Nicht jugendfrei
Sexueller Missbrauch von Kindern
Feedback