Can't use this link. Check that your link starts with 'http://' or 'https://' to try again.
Unable to process this search. Please try a different image or keywords.
Try Visual Search
Search, identify objects and text, translate, or solve problems using an image
Drag one or more images here,
upload an image
or
open camera
The photos you provided may be used to improve Bing image processing services.
Privacy Policy
|
Terms of Use
Drop image anywhere to start your search
To use Visual Search, enable the camera in this browser
Gaeilge
All
Search
Images
Inspiration
Create
Collections
Videos
Maps
News
More
Shopping
Flights
Travel
Notebook
Top suggestions for Two-Sided T-Test Formula
Two Sample
T-Test Formula
Two-Sided T-Test
T Test
and Z Test Formula
One
-Sided T-Test
T-Test
Equation
T-Test
Interpretation
Equal Variance
T-Test
P-Value 2 Sample
T-Test
T-Test Paired Two
Sample for Means Formula
2 Sample
T-Test Graph
Two Sample T-Test
Hypothesis
Two Sample T-Test
Statistic Formula
Two Sample T-Test
Statistics
T
Critical Value Formula
Two Sample T-Test
Diagram
Two
Sample Tests
Steps for a
Two Sample T-Test
2 Sample
T-Test Examples
Two Sample T-Test
Confidence Interval
Power Formula for
Two Sided T-Test
T-Test
Math
Unequal Var
T-Test Formula
Double Sided T
-shaped Test
Independent Sample
T-Test Formula
How to Do a
Two Sided T-Test
How to Complete a
T-Test
T-Test
Between Two Values
T-Test Formula
No Background
Two Sample T-Test
Conditions
T-Test
Equal or Unequal Variance
Two Sample T-Test
Experiment Done
Two
-Way Case T-Test
Equal vs Unequal
Variance
Two-Sided T-Test
Significant vs Insignificant
Distribucion T
Student Formula
1 Sample
T-Test Equation
Two-Sided
Pooled Variance T-Test
Exact Sample Size Formula for a
Two Sample T-Test
Formula for a 2 Samp
T-Test Interval
T Test
and Chi-Square Test
Best Way to Graph
T-Test Two Pops
Step by Step Solution for
T-Test
Biological Example of
Two Sample T-Test
Uncertainty Quation with
T-Test
What Does a
Two Sided P Test Show
Two Sample T-Test
Numerical
How to Make a Test Statistic for a
Two Sample T-Test
Show Why You Can Assume Normality in
Two Sample T-Test
Two Sample T Test
for Difference of Means
Calculate T
-Stat
Explore more searches like Two-Sided T-Test Formula
Print
Page
Chi-Square
Probability
Statement
Pros
Cons
Alternative
Hypothesis
Graph
Title
Calculated
Value
Value
AP
Stats
Chart
Used
For
Hand
Rejection
Region
Power
Null Hypothesis
For
Alpha
0 05
Statistik
Operating
Curve
For
Mean
For 2
Samples
People interested in Two-Sided T-Test Formula also searched for
Paired vs
Unpaired
Margin
Error
For
Function
Absolute
Value
Hypothesis
Testing
Research
Methodology
Null
Hypothesis
2
Sample
Statistic 2
Sample
One
Tail
Related
Level
Biology
Basic
Piared
Statistic
For Two Samples
Examples
Two
Samlped
Using
Excel
Fro
Example
Econometrics
Case
2
Autoplay all GIFs
Change autoplay and other image settings here
Autoplay all GIFs
Flip the switch to turn them on
Autoplay GIFs
Image size
All
Small
Medium
Large
Extra large
At least... *
Customized Width
x
Customized Height
px
Please enter a number for Width and Height
Color
All
Color only
Black & white
Type
All
Photograph
Clipart
Line drawing
Animated GIF
Transparent
Layout
All
Square
Wide
Tall
People
All
Just faces
Head & shoulders
Date
All
Past 24 hours
Past week
Past month
Past year
License
All
All Creative Commons
Public domain
Free to share and use
Free to share and use commercially
Free to modify, share, and use
Free to modify, share, and use commercially
Learn more
Clear filters
SafeSearch:
Moderate
Strict
Moderate (default)
Off
Filter
Two Sample
T-Test Formula
Two-Sided T-Test
T Test
and Z Test Formula
One
-Sided T-Test
T-Test
Equation
T-Test
Interpretation
Equal Variance
T-Test
P-Value 2 Sample
T-Test
T-Test Paired Two
Sample for Means Formula
2 Sample
T-Test Graph
Two Sample T-Test
Hypothesis
Two Sample T-Test
Statistic Formula
Two Sample T-Test
Statistics
T
Critical Value Formula
Two Sample T-Test
Diagram
Two
Sample Tests
Steps for a
Two Sample T-Test
2 Sample
T-Test Examples
Two Sample T-Test
Confidence Interval
Power Formula for
Two Sided T-Test
T-Test
Math
Unequal Var
T-Test Formula
Double Sided T
-shaped Test
Independent Sample
T-Test Formula
How to Do a
Two Sided T-Test
How to Complete a
T-Test
T-Test
Between Two Values
T-Test Formula
No Background
Two Sample T-Test
Conditions
T-Test
Equal or Unequal Variance
Two Sample T-Test
Experiment Done
Two
-Way Case T-Test
Equal vs Unequal
Variance
Two-Sided T-Test
Significant vs Insignificant
Distribucion T
Student Formula
1 Sample
T-Test Equation
Two-Sided
Pooled Variance T-Test
Exact Sample Size Formula for a
Two Sample T-Test
Formula for a 2 Samp
T-Test Interval
T Test
and Chi-Square Test
Best Way to Graph
T-Test Two Pops
Step by Step Solution for
T-Test
Biological Example of
Two Sample T-Test
Uncertainty Quation with
T-Test
What Does a
Two Sided P Test Show
Two Sample T-Test
Numerical
How to Make a Test Statistic for a
Two Sample T-Test
Show Why You Can Assume Normality in
Two Sample T-Test
Two Sample T Test
for Difference of Means
Calculate T
-Stat
1759×1530
cuemath.com
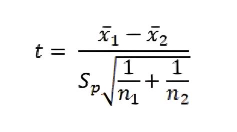
t-test formula - Derivation, Examples
1280×854
fity.club
T Test Formula Welch Test
640×480
animalia-life.club
Paired T Test Formula
1657×487
animalia-life.club
Paired T Test Formula
Related Products
Two-Sample T-Test
Paired T-Test
Unpaired T-Test
391×246
fity.club
T Test Formula Two Sample SPSS Annotated Output T Test
1043×275
fity.club
T Test Formula Two Sample SPSS Annotated Output T Test
1400×810
fity.club
T Test Formula Two Sample SPSS Annotated Output T Test
250×250
researchgate.net
t-statistic obtained from a two sided t-test. | Do…
620×607
storage.googleapis.com
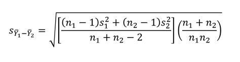
Standard Error Formula Two Sample T Test at Faye Garcia blog
403×192
ResearchGate
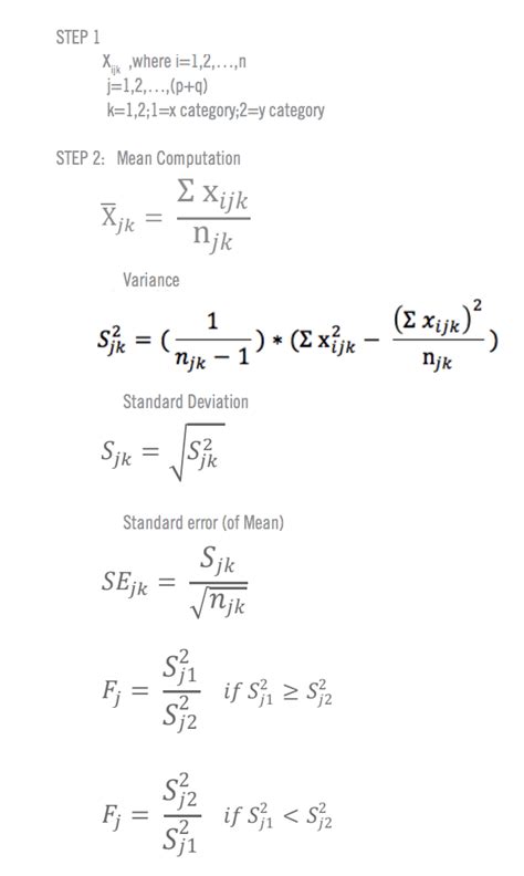
T-test Formula for Paired Two Sample for Means | Download Scientific ...
850×212
researchgate.net
Summary of the statistical two-sided t-test performed at the 1% ...
Explore more searches like
Two-Sided T-Test
Formula
Print Page
Chi-Square
Probability Statement
Pros Cons
Alternative Hypothesis
Graph Title
Calculated Value
Value
AP Stats
Chart
Used For
Hand
1280×800
scales.arabpsychology.com
What Is The Two Sample T-test: Definition, Formula, And Example?
895×283
stats.stackexchange.com
Formula for a two-sample t-test where each group is made up of multiple ...
1024×536
microbenotes.com
T-test: Definition, Formula, Types, Applications
1120×628
criticalvaluecalculator.net
T Test Calculator
768×300
vitalflux.com
Paired Sample T-Tests: Formula, Examples - Analytics Yogi
768×424
datagy.io
How to Perform T-Tests in Python (One- and Two-Sample) • datagy
1280×720
ar.inspiredpencil.com
Paired T Test Formula
947×579
ar.inspiredpencil.com
Paired T Test Formula
960×720
ar.inspiredpencil.com
Paired T Test Formula
300×121
scribbr.com
An Introduction to T-Tests | Definitions, Formula and Exa…
1280×720
ar.inspiredpencil.com
Two Tailed T Test Formula
1500×679
ar.inspiredpencil.com
Two Tailed T Test Formula
1014×454
ar.inspiredpencil.com
Two Tailed T Test Formula
People interested in
Two-Sided
T-Test Formula
also searched for
Paired vs Unpaired
Margin Error
For Function
Absolute Value
Hypothesis Testing
Research Methodology
Null Hypothesis
2 Sample
Statistic 2 Sample
One Tail
Related
Level Biology
2048×1395
ar.inspiredpencil.com
Two Tailed T Test Formula
480×360
ar.inspiredpencil.com
Two Tailed T Test Formula
1280×720
ar.inspiredpencil.com
Two Tailed T Test Formula
1024×526
ar.inspiredpencil.com
Two Tailed T Test Formula
1280×720
ar.inspiredpencil.com
Two Tailed T Test Formula
2090×696
ar.inspiredpencil.com
Two Tailed T Test Formula
598×1000
ar.inspiredpencil.com
Two Tailed T Test Formula
1280×720
ar.inspiredpencil.com
Two Tailed T Test Formula
1400×857
ar.inspiredpencil.com
Two Tailed T Test Formula
274×232
ar.inspiredpencil.com
Two Tailed T Test Formula
1646×940
ar.inspiredpencil.com
Two Tailed T Test Formula
Some results have been hidden because they may be inaccessible to you.
Show inaccessible results
Report an inappropriate content
Please select one of the options below.
Not Relevant
Offensive
Adult
Child Sexual Abuse
Feedback