The photos you provided may be used to improve Bing image processing services.
Privacy Policy
|
Terms of Use
Can't use this link. Check that your link starts with 'http://' or 'https://' to try again.
Unable to process this search. Please try a different image or keywords.
Try Visual Search
Search, identify objects and text, translate, or solve problems using an image
Drag one or more images here,
upload an image
or
open camera
Drop images here to start your search
To use Visual Search, enable the camera in this browser
日本語
All
Search
Images
Inspiration
Create
Collections
Videos
Maps
News
More
Shopping
Flights
Travel
Notebook
Top suggestions for Types of Syntax Z
Syntax
Drawing
Syntax
Music
Types of
Words
Types of Syntax
Scrub
Games
of Syntax
Movie
of Syntax
Syntax
ZPhone
Syntax
Phos Nouveau Ring
Drawing of Syntax
Logo
Syntax
Pictre
Different Types of Syntax
in Writing
Types of
Compound Structures
Programming Grammar
Syntax Chart
Syntax
Mind Kit
Syntactic Structures
Types
Types of
Loops
Syntax
Diagram
Syntax
Picture
JSON
Types
Syntax
Cheat Sheet
Syntax
Tree
Z Type
Game Free
Different
Syntax Types
Cursive Capital
Z
Flies
Syntax Z
Syntax
School
English Grammar Types of
Sentences Worksheets
Syntaxx Styles
Examples
Different Types of
Python Programming
Types of
Grammar
Types of
Inheritance with Diagram
Syntax
Tree Diagram Examples
Syntax
Tree Diagram Generator
Types of
Sentence Structure
Types of
Loop Diagrams
Examples of Types of
Sentences
Python Syntax
Image
4 Types of
Sentences Worksheets
Types of
Sentences Worksheet Grade 7
Syntax Z
Logo
Ztype
Game
Explore more searches like Types of Syntax Z
GTA
2
Honda
City
Game
App
Shoot
Game
Wallpaper
4K
Touring
Car
GTA 5 Car
Mission
Fullscreen
Grand Theft
Auto
Kit
Car
Data
Cable
Sheet
Pile
Leaf
Spring
GTA Vice
City
Car
Wallpaper
Bucket
Elevator
GTA
SA
Honda
Civic
Amr
Tiamat
Steel
Plate
Posts
Nissin
K24
City
MCB
Ford
Car Gta
5
Attachment
IRL
Stragal
Hinge
1
Z Type Real
Life
Scraper
Wheel
GTA
Car
People interested in Types of Syntax Z also searched for
GTA
Online
Hyundai
Honda
CR
Van
Truffase
Carno
12V
Attachments
Race
Car
Fair
Lady
Mobile
City
Conveyor
Autoplay all GIFs
Change autoplay and other image settings here
Autoplay all GIFs
Flip the switch to turn them on
Autoplay GIFs
Image size
All
Small
Medium
Large
Extra large
At least... *
Customized Width
x
Customized Height
px
Please enter a number for Width and Height
Color
All
Color only
Black & white
Type
All
Photograph
Clipart
Line drawing
Animated GIF
Transparent
Layout
All
Square
Wide
Tall
People
All
Just faces
Head & shoulders
Date
All
Past 24 hours
Past week
Past month
Past year
License
All
All Creative Commons
Public domain
Free to share and use
Free to share and use commercially
Free to modify, share, and use
Free to modify, share, and use commercially
Learn more
Clear filters
SafeSearch:
Moderate
Strict
Moderate (default)
Off
Filter
Syntax
Drawing
Syntax
Music
Types of
Words
Types of Syntax
Scrub
Games
of Syntax
Movie
of Syntax
Syntax
ZPhone
Syntax
Phos Nouveau Ring
Drawing of Syntax
Logo
Syntax
Pictre
Different Types of Syntax
in Writing
Types of
Compound Structures
Programming Grammar
Syntax Chart
Syntax
Mind Kit
Syntactic Structures
Types
Types of
Loops
Syntax
Diagram
Syntax
Picture
JSON
Types
Syntax
Cheat Sheet
Syntax
Tree
Z Type
Game Free
Different
Syntax Types
Cursive Capital
Z
Flies
Syntax Z
Syntax
School
English Grammar Types of
Sentences Worksheets
Syntaxx Styles
Examples
Different Types of
Python Programming
Types of
Grammar
Types of
Inheritance with Diagram
Syntax
Tree Diagram Examples
Syntax
Tree Diagram Generator
Types of
Sentence Structure
Types of
Loop Diagrams
Examples of Types of
Sentences
Python Syntax
Image
4 Types of
Sentences Worksheets
Types of
Sentences Worksheet Grade 7
Syntax Z
Logo
Ztype
Game
768×1024
scribd.com
4 Types of Syntax | PDF | …
768×1024
scribd.com
The Fundamental B…
1200×600
github.com
GitHub - zlanguage/zlanguage-syntax-highlighting: Z's VSCode extension ...
1422×800
tutors.com
Syntax — Definition, Rules, and Examples
300×175
adcod.com
What Is syntax and what are its four types? - Adcod…
850×258
ResearchGate
Complex syntax types and examples | Download Table
651×425
harmony.org.uk
Linguistics Syntax
713×551
researchgate.net
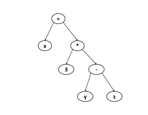
1: Abstract Syntax Tree representation for x = y -z * …
720×540
slideserve.com
PPT - Z Types and Sets PowerPoint Presentation, free download - ID:223…
350×350
www.teacherspayteachers.com
Grammar Z: Sentence Types by The Mrs Bs | Te…
768×1024
Scribd
English Syntax | Syntax | Sentenc…
1020×1442
docslib.org
Formal Specification— …
826×508
chegg.com
- Formal Methods - Z notation - Z types - Z Language | Chegg.com
850×548
researchgate.net
Zsyntax Graphical (on the left) and formal (on the right)... | Download ...
Explore more searches like
Types
of Syntax
Z
GTA 2
Honda City
Game App
Shoot Game
Wallpaper 4K
Touring Car
GTA 5 Car Mission
Fullscreen
Grand Theft Auto
Kit Car
Data Cable
Sheet Pile
320×320
researchgate.net
Zsyntax Graphical (on the left) and formal (o…
720×540
SlideServe
PPT - Type Inference Example -- 1 source text: x:=1; z := y
1530×659
eigo-bunpou.com
【英単語】syntaxを徹底解説!意味、使い方、例文、読み方 – おもしろい英文法
3:21
study.com
Syntax in Literature | Definition & Examples
1000×300
freeslp.com
z templates | Free SLP
731×392
velog.io
# Syntax
1600×900
ar.inspiredpencil.com
Syntax
474×266
10minutespeech.com
Z in Isolation & Syllables - 10-Minute Speech
1024×768
SlideServe
PPT - Z - Notation PowerPoint Presentation, free download - ID:1267046
2133×2133
www.pinterest.com
Z found type
1200×848
studocu.com
The Z - Z NOTATION - ####### Formal Specification of Software Th…
288×452
Jay Is Games
Z-Type - Walkthrough, Ti…
720×540
slidetodoc.com
Introduction to Z Notation 1 Z Notation First
720×540
slidetodoc.com
Introduction to Z Notation 1 Z Notation First
1024×768
SlideServe
PPT - The Z Specification Language PowerPoint Presentation, free ...
People interested in
Types
of Syntax
Z
also searched for
GTA Online
Hyundai
Honda CR
Van
Truffase
Carno
12V Attachments
Race Car
Fair Lady
Mobile City
Conveyor
1024×768
SlideServe
PPT - The Z Specification Language PowerPoint Presentati…
320×240
SlideServe
PPT - The Z Specification Language PowerPoint Present…
2000×1000
speechtherapystore.com
225+ Free Z Words for Speech Therapy Articulation + PDF - Speech ...
750×732
behance.net
36 days of type - Z :: Behance
1024×768
SlideServe
PPT - 2.4 The Z Notation PowerPoint Presentation, free download - ID ...
1024×768
SlideServe
PPT - 2.4 The Z Notation PowerPoint Presentation, free download - ID ...
Some results have been hidden because they may be inaccessible to you.
Show inaccessible results
Report an inappropriate content
Please select one of the options below.
Not Relevant
Offensive
Adult
Child Sexual Abuse
Feedback