The photos you provided may be used to improve Bing image processing services.
Privacy Policy
|
Terms of Use
Can't use this link. Check that your link starts with 'http://' or 'https://' to try again.
Unable to process this search. Please try a different image or keywords.
Try Visual Search
Search, identify objects and text, translate, or solve problems using an image
Drag one or more images here,
upload an image
or
open camera
Drop images here to start your search
To use Visual Search, enable the camera in this browser
All
Search
Images
Inspiration
Create
Collections
Videos
Maps
News
More
Shopping
Flights
Travel
Notebook
Top suggestions for Variance of Square D Random Variable
Variance Formula
Random Variable
Variance Discrete
Random Variable
Random Variable
Mean and Variance
Expectation and
Variance of a Random Variable
Variance Complex
Random Variable
Variance of a Function
of a Random Variable
Formula for
Variance of Random Variable
Variance of a Random Variable
X
Variance
Rules
Variance
in Terms of Expectation
Variance of
Uniform Random Variable
Calculate
Variance of Random Variable
Variance Formula Fro a
Random Variable
Random Variable
Distribution
Variance
Math
Geometric
Random Variable
Normal
Random Variable
How to Calculate
Variance of Random Variable
Variance of a Random Variable
Example
Variance of
Continuous Random Variable
Variance of Sum
of Random Variables
Variance of Random Variable
Probability Distribution
Conditional Variance
Formula
Variance of Difference
of Random Variables
Expected Value and
Variance
Standard Deviation
of Random Variable
Random Variable
Stats
Random Variable
Definition
Variance of
a Scaled Random Variable
Law
of Variance
Exponential
Random Variable
How to Find
Variance of a Discrete Random Variable
Variance of Random Variable
Properties
Variance of
Product
Variance of
AX
Variance
Equation for Random Variable
Variance of
Infinite Random Variable
Sample Variance
Formula
Variance
Probability Theory Random Variable
Random Variable
Statistics
Variance of
a Constant Times Random Variable
Binomial
Random Variable
Variance of
a Compound Random Variable Formula
Rules
of Variance
Random Variable
in Statistics
Variance
with Probability
Variance of
Sample Mean
Expectation and
Variance
Variance of
Expected Value
Variance of Sum of
Two Random Variables
Explore more searches like Variance of Square D Random Variable
Probability
Distribution
Probability
Theory
How
Find
Linear
Function
Expected
Value
Square
D
Calculate
Example
PDF
Properties
Times
Constant
Mean
Derivation
Meaning
Problem
Univariate
What
is
Formula
People interested in Variance of Square D Random Variable also searched for
Distribution
Formula
Machine
Learning
Discrete Vs.
Continuous
Formula for
Variance
Poster
Presentation
Distribution
Function
Interest
Definition
Standard
Deviation
Transformation
Examples
How
Write
Exponentially
Distributed
Characteristic
Function
Mean-Variance
Statistics
Example
Variance
Formula
Probability Density
Function
Geometric
Patterns
Notation
Example
Cheat
Sheet
Possible
Values
3
Examples
Standard
Two
Types
Example
Discrete
Sample
Expected Value
Continuous
Variance
Uniform
Distribution
Statistics
Probability
CDF
Discrete
Calculator
Standard Deviation
Discrete
P5J How
Make
Complex
Autoplay all GIFs
Change autoplay and other image settings here
Autoplay all GIFs
Flip the switch to turn them on
Autoplay GIFs
Image size
All
Small
Medium
Large
Extra large
At least... *
Customized Width
x
Customized Height
px
Please enter a number for Width and Height
Color
All
Color only
Black & white
Type
All
Photograph
Clipart
Line drawing
Animated GIF
Transparent
Layout
All
Square
Wide
Tall
People
All
Just faces
Head & shoulders
Date
All
Past 24 hours
Past week
Past month
Past year
License
All
All Creative Commons
Public domain
Free to share and use
Free to share and use commercially
Free to modify, share, and use
Free to modify, share, and use commercially
Learn more
Clear filters
SafeSearch:
Moderate
Strict
Moderate (default)
Off
Filter
Variance Formula
Random Variable
Variance Discrete
Random Variable
Random Variable
Mean and Variance
Expectation and
Variance of a Random Variable
Variance Complex
Random Variable
Variance of a Function
of a Random Variable
Formula for
Variance of Random Variable
Variance of a Random Variable
X
Variance
Rules
Variance
in Terms of Expectation
Variance of
Uniform Random Variable
Calculate
Variance of Random Variable
Variance Formula Fro a
Random Variable
Random Variable
Distribution
Variance
Math
Geometric
Random Variable
Normal
Random Variable
How to Calculate
Variance of Random Variable
Variance of a Random Variable
Example
Variance of
Continuous Random Variable
Variance of Sum
of Random Variables
Variance of Random Variable
Probability Distribution
Conditional Variance
Formula
Variance of Difference
of Random Variables
Expected Value and
Variance
Standard Deviation
of Random Variable
Random Variable
Stats
Random Variable
Definition
Variance of
a Scaled Random Variable
Law
of Variance
Exponential
Random Variable
How to Find
Variance of a Discrete Random Variable
Variance of Random Variable
Properties
Variance of
Product
Variance of
AX
Variance
Equation for Random Variable
Variance of
Infinite Random Variable
Sample Variance
Formula
Variance
Probability Theory Random Variable
Random Variable
Statistics
Variance of
a Constant Times Random Variable
Binomial
Random Variable
Variance of
a Compound Random Variable Formula
Rules
of Variance
Random Variable
in Statistics
Variance
with Probability
Variance of
Sample Mean
Expectation and
Variance
Variance of
Expected Value
Variance of Sum of
Two Random Variables
768×1024
scribd.com
Variance and Standard Devia…
768×1024
scribd.com
05 Variance Standard Devia…
768×1024
scribd.com
Steps in Finding The Mean Vari…
4:29
calcworkshop.com
Expected Value Variance Continuous Random Variable
Related Products
Probability Distribution
Normal Distribution
Variance of Bernoulli R…
700×332
Stack Exchange
probability - Why square a constant when determining variance of a ...
640×480
slideshare.net
VARIANCE OF DISCRETE RANDOM VARIABLE.pptx
640×360
slideshare.net
MEAN-VARIANCE-AND-DISCRETE-RANDOM-VARIABLE.pptx
2046×779
Chegg
Solved Let X be a random variable with variance sigma^2. | Chegg.com
720×540
slidetodoc.com
The Variance of a Random Variable Lecture 35
1024×576
SlideShare
Variance and standard deviation of a discrete random variable
2048×1152
slideshare.net
Mean, variance, and standard deviation of a Discrete Random Variable | PPTX
640×360
slideshare.net
Variance and standard deviation of a discrete random variable | PPTX
Explore more searches like
Variance of
Square D
Random Variable
Probability Distribution
Probability Theory
How Find
Linear Function
Expected Value
Square D
Calculate
Example
PDF
Properties
Times Constant
Mean
640×480
slideshare.net
Mean, variance, and standard deviation of a Di…
1181×670
mathsathome.com
How to Calculate Variance – mathsathome.com
1024×526
chegg.com
Solved 3.The variance of a discrete random variable X is | Chegg.com
693×265
chegg.com
Solved 7) Find the variance and SD of random variable (X) as | Chegg.com
932×302
andymath.com
Expected Value and Variance of a Random Variable
941×628
Stack Exchange
statistics - Expectation of square of random variable and their mean ...
671×277
chegg.com
Solved 7) Find the variance and SD of random variable (X) as | Chegg.com
873×726
numerade.com
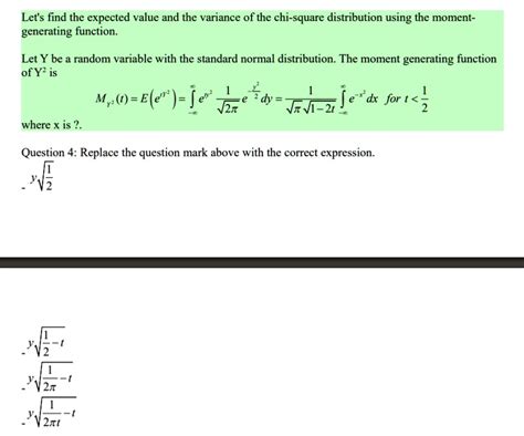
lets find the expected value and the variance of the ch…
1854×887
coursehero.com
[Solved] 10) Find the variance and SD of random variable (X) as shown ...
2102×1232
chegg.com
Solved For a random variable X, we define the variance of X, | Chegg.com
429×221
skytowner.com
Comprehensive Guide on Variance of Random Variables
423×249
skytowner.com
Comprehensive Guide on Variance of Random Variables
438×324
skytowner.com
Comprehensive Guide on Variance of Random Variables
650×150
mun.ca
Mean & Variance
1200×1480
studocu.com
Variance - Given a random variable …
People interested in
Variance of Square D
Random Variable
also searched for
Distribution Formula
Machine Learning
Discrete Vs. Continuous
Formula for Variance
Poster Presentation
Distribution Function
Interest Definition
Standard Deviation
Transformation Examples
How Write
Exponentially Distributed
Characteristic Function
401×159
statisticslectures.com
Variance and Standard Deviation of Discrete Random Variables
400×302
statisticslectures.com
Variance and Standard Deviation of Discrete Random Variables
650×271
statisticslectures.com
Variance and Standard Deviation of Discrete Random Variables
1280×1656
docsity.com
1 Variance and Standard Deviatio…
564×312
ece.poriyaan.in
Random Variable
640×480
slideshare.net
Probability Distribution, Standard D, Variance | PPTX
1200×1976
studocu.com
3.Mean and Variance of a D…
1024×768
SlideServe
PPT - 7.2 Day 1: Mean & Variance of Random Variables PowerPoint ...
Some results have been hidden because they may be inaccessible to you.
Show inaccessible results
Report an inappropriate content
Please select one of the options below.
Not Relevant
Offensive
Adult
Child Sexual Abuse
Feedback