Ní féidir an nasc seo a úsáid. Seiceáil go dtosaíonn do nasc le 'http://' nó 'https://' chun triail eile a bhaint as.
Ní féidir an cuardach seo a phróiseáil. Bain triail as íomhá nó as eochairfhocail eile.
Bain triail as Cuardach Amharc
Cuardaigh, aithin oibiachtaí agus téacs, aistrigh nó réitigh fadhbanna le híomhá
Tarraing íomhá amháin nó níos mó anseo,
uaslódáil íomhá
nó
oscail an ceamara
D'fhéadfaí na grianghraif a chuir tú ar fáil a úsáid chun seirbhísí Bing phróiseáil íomhánna a fheabhsú.
Polasaí príobháideachais
|
Téarmaí Úsáide
Scaoil an íomhá áit ar bith chun an cuardach a thosú
Chun Cuardach Físiúil a úsáid, cumasaigh an ceamara sa bhrabhsálaí seo
English
Gach rud
Cuardach
Íomhánna
Inspioráid
Cruthaigh
Bailiúcháin
Físeáin
Mapaí
Copilot
Tuilleadh
Nuacht
Eitiltí
Taisteal
Nótaleabhar
Uathsheinn gach GIFanna
Athraigh uathsheinn agus socruithe íomhá eile anseo
Uathsheinn gach GIFanna
Smeach an lasc chun iad a chasadh air
GIFanna uathsheachadta
Méid íomhá
Gach ceann
Beag
Meánach
Mór
Ollmhór
Ar a laghad... *
Leithead Saincheaptha
x
Airde Saincheaptha
px
Iontráil uimhir do Leithead agus Airde
Dath
Gach ceann
Dath amháin
Dubh & bán
Cineál
Gach ceann
Grianghraf
Fáisc-ealaín
Líníocht le líne
GIF beochana
Trédhearcach
Leagan amach
Gach ceann
Cearnóg
Leathan
Ard
Daoine
Gach ceann
Aghaidheanna amháin
Ceann &barainní
Dáta
Gach ceann
Le 24 uair an chloig anuas
Le seachtain anuas
Le mí anuas
Le bliain anuas
Ceadúnas
Gach ceann
Gach Creative Commons
Fearann poiblí
Saor in aisce le comhroinnt agus úsáid
Saor in aisce a roinnt agus a úsáid ar bhonn tráchtála
Saor in aisce chun rudaí a mhionathrú, a chomhroinnt agus a úsáid
Saor in aisce chun rudaí a mhionathrú, a chomhroinnt agus a úsáid ar bhonn tráchtála
Tuilleadh faisnéise
Scagairí a ghlanadh
SafeSearch:
Meánach
Docht
Measartha (réamhshocraithe)
As
Scag
800×1036
shaalaa.com
Programming with C 2016-2017 Master of Computer Ap…
1200×1553
studocu.com
2021 - Question paper - Java programming - ChaloExam F…
1020×1795
pupilstutor.com
MDU B.C.A 1st Semester Computer And Programmin…
1143×1600
blogspot.com
Punjab University Past Papers: May 2014
800×534
Dreamstime
Paper with Programming Code and Programmer Notes Stoc…
9:54
YouTube > Anjali Luthra
BCA Previous year question Paper for C Language - Solved
YouTube · Anjali Luthra · 123.3K amharc · 10 Noll 2018
1080×1080
msbtenews.com
Microcontroller Programming Sample Question Paper PDF
1620×2292
studypool.com
SOLUTION: Programmable Logic Controllers-programmi…
1200×1553
studocu.com
C++ programming paper set -2 - c++ programming paper se…
768×1024
scribd.com
C++_programming_papers | PDF
768×1024
scribd.com
Structured Programming | PDF | Class (Computer Program…
1326×2048
blogspot.com
C Programming - 1st Semester Questions Papers CTEVT | Di…
640×360
practicalkida.com
Java Programming JPR 22412 Previous Year Model Answe…
900×400
au1.globalassignmenthelp.com.au
Five Tips to Hit the Bull's Eye in Your Programming Paper
1600×1237
hackaday.com
Making The Case For COBOL | Hackaday
768×1024
scribd.com
CSL 243 - System Programming Paper | PDF
1650×1853
educationhub.pk
Object Oriented Programming OOP BSCS GCUF Past Paper …
768×1024
scribd.com
C Programming Paper, BCA, 2nd Semester, TU | PDF
1200×1698
studocu.com
Object Oriented Programming: Java OOP BCS306A VTU Not…
470×750
mdurohtak.in
Fundamentals of Computer and Programming in C - Que…
1280×1825
newtondesk.com
C Programming And Data Structures & Algorithms Not…
1300×1753
shiningstudy.com
Programming Fundamentals - Shining Study
1625×1740
educationhub.pk
Programming Fundamentals BSCS GCUF Past Paper 202…
1200×1698
studocu.com
Object Oriented Programming: Java OOP BCS306A VTU Not…
768×1024
scribd.com
Visual Programming Notes | PDF | Computer Programmin…
1200×1698
studocu.com
Visual Programing Past Paper - Visual Basic Programming …
1600×1336
dreamstime.com
Kid Coding Computer Programming Paper Cut Ban…
1620×2292
studypool.com
SOLUTION: Programmable Logic Controllers-programmi…
800×1206
shaalaa.com
Introduction to Programming and C Programming 2012-20…
1200×1698
studocu.com
Programming in C 2019 - Previous year question Pape…
683×1024
educationhub.pk
Programming Fundamentals BSCS GCUF Past Paper 202…
452×640
indianuniversityquestionpapers.com
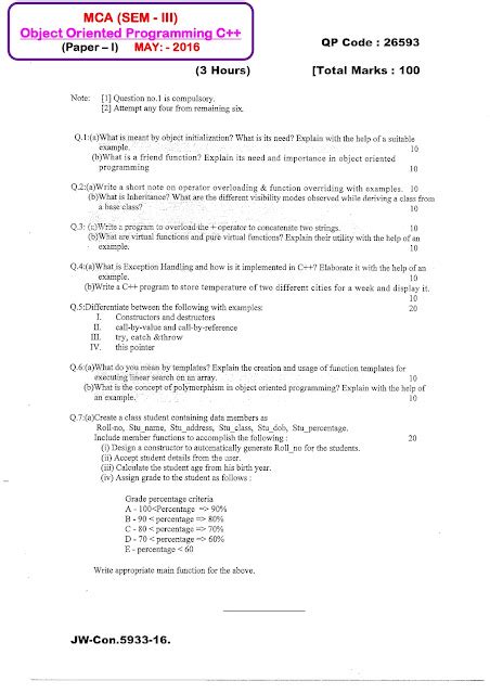
University of Mumbai MCA (Sem - III) Object Oriented Pr…
1200×1697
studocu.com
NC540 - Computer Programming L4 P2 Supple…
1600×762
dreamstime.com
Kid Coding Computer Programming Paper Cut Ban…
1620×2291
studypool.com
SOLUTION: Object oriented programming c++ past paper…
Tá roinnt torthaí folaithe toisc go bhfuil seans ann nach bhfuil siad inrochtana agat.
Taispeáin torthaí dorochtana
Tuairiscigh inneachar mí-oiriúnach
Roghnaigh ceann de na roghanna thíos.
Neamhábhartha
Maslach
Duine fásta
Mí-Úsáid Ghnéasach Leanaí
Aiseolas