English
Gach rud
Cuardach
Íomhánna
Físeáin
Mapaí
Nuacht
Tuilleadh
Siopadóireacht
Eitiltí
Taisteal
Nótaleabhar
Tuairiscigh inneachar mí-oiriúnach
Roghnaigh ceann de na roghanna thíos.
Neamhábhartha
Maslach
Duine fásta
Mí-Úsáid Ghnéasach Leanaí
Na moltaí is mó chabhair le haghaidh integral
Integral
Calculus Beginning
Integral
1 X 1
Intro to Calculus
1
Integral
Calculus Tutorial
Calculus 1
Introduction
Integral
Calculator
Calculus 1
Integration
Leonard Calculus
1
Calculus 1 Lecture
4.3
Basic Calculus
1
Indefinite Integral
Calculator
Fad
Gach ceann
Gearr (níos lú ná 5 nóim)
Meánach (5-20 nóiméad)
Fada (níos mó ná 20 nóim)
Dáta
Gach ceann
Le 24 uair an chloig anuas
Le seachtain anuas
Le mí anuas
Le bliain anuas
Réiteach
Gach ceann
Níos ísle ná 360p
360p nó níos airde
480p nó níos airde
720p nó níos airde
1080p nó níos airde
Foinse
Gach ceann
Dailymotion
Vimeo
Metacafe
Hulu
VEVO
Myspace
MTV
CBS
Sionnach
CNN
MSN
Praghas
Gach ceann
Saor
Íoctha
Scagairí a ghlanadh
SafeSearch:
Meánach
Docht
Measartha (réamhshocraithe)
As
Scag
Integral Calculus
Beginning
Integral 1
X 1
Intro to
Calculus 1
Integral Calculus
Tutorial
Calculus 1
Introduction
Integral
Calculator
Calculus 1
Integration
Leonard
Calculus 1
Calculus 1
Lecture 4.3
Basic
Calculus 1
Indefinite Integral
Calculator
0:50
Definite Integral and Indefinite Integral
180.7K amharc
15 Meith 2023
YouTube
Profª Jaque - Matemática
1:00
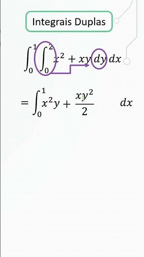
Calculating double integrals
25.4K amharc
19 Feabh 2024
YouTube
Profª Jaque - Matemática
2:59
Integration by substitution quick revision | Class 12 Maths #ytshorts #
…
18.1K amharc
1 week ago
YouTube
Maths is Easy
Antiderivatives in Calculus: Exploring Integral Functions
2.3M amharc
3 MFómh 2022
TikTok
hadi_sr
2:35
Integration By Parts Formula Trick | How to memories Integration Formul
…
41.1K amharc
1 month ago
YouTube
Maths is Easy
0:56
Double integral on a triangular region in under one minute
42.9K amharc
28 Ean 2021
YouTube
Daniel An
5:38
A little partial derivative never hurt anyone. #mathematics #calculus #le
…
9.4K amharc
3 weeks ago
TikTok
mathscribbles
7:44
SECRETO para APRENDER desde CERO Profesor de cálculo integral Ex
…
3.1K amharc
2 weeks ago
TikTok
sergio._._.damian
0:29
Integration multiple choice hack! #calculus #integral #ap | Calculus
13.8K amharc
2 weeks ago
TikTok
mathmax78
0:18
math is easy 🥲 #math #integral #pi #euler #why #fyp #foryou #easy
4.6M amharc
8 Lún 2022
TikTok
why_axis_
0:53
dhanda Nyoliwala on Instagram: "@sadhvideva jawab do iska 🤡"
20.4K amharc
1 week ago
Instagram
nyoliwala.fanclub
0:34
Songs That Should Not Work on Instagram: "In 1988, Pixies performe
…
115K amharc
1 week ago
Instagram
songsthatshouldnotwork
1:07
Corpoelec despliega jornada integral del 17 al 21 de noviembre La Corpora
…
109.9K amharc
1 month ago
TikTok
mundourweb
0:18
Techniques d'épilation Maillot Intégral sans douleurs - Astuces et Conseils
5.9M amharc
10 Feabh 2022
TikTok
djenybymyself
1:03
The Importance of 3D Scanning in Modern Manufacturing
35.9K amharc
3 weeks ago
TikTok
punishedprops
2:03
¡Momento Histórico! El presidente @Nicolás Maduro lideró hoy la Jura
…
246.2K amharc
3 weeks ago
TikTok
nahumjfernandez
0:41
Elegant Georgian-Inspired Residence in Formby
289.6K amharc
1 month ago
TikTok
abodegroup
1:28
USC Yell leaders (Alumni) on Instagram: "Even Bruin Vicki Lawrenc
…
74.8K amharc
2 weeks ago
Instagram
uscyellleaders
1:00
Papa ji ka pyar on Instagram: "Love ❤️😂🤣😂🤣"
43.5K amharc
5 days ago
Instagram
papa_ji_ka_pyar
2:45
Tutorial Integral Substitusi Matematika: Cara Menyelesaikan So
…
146.4K amharc
25 Márta 2021
TikTok
liannanathania
Féach tuilleadh físeán
Níos mó mar seo
Aiseolas